Vectoren, vraagstuk 75
Gegeven het scalarveld (in Cartesische coördinaten):
Maak een tekening van het gradiëntveld
G van G.
G van G.

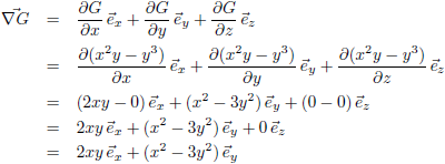
Het scalarveld G (x, y) = x2y − y3
kennen we als volgt:
G vormt zich via de
partiële afgeleiden:

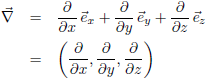
Het vectorveld
G
Door naar het volgende vraagstuk: vectoren, vraagstuk 76
Terug naar het vorige vraagstuk: vectoren, vraagstuk 74
Overzichtspagina met vraagstukken
Vraagstukken xref voor de UT
De integraal van
De integraal van
De integraal van
De integraal van
De integraal van
De integralen van
De integralen van
Vectoren, vraagstuk 16
Vectoren, vraagstuk 61
De Taylor-reeks van
De Taylor-reeks van
De stelling van Stokes
De gammafunctie
Holomorfie van de functie
Relativiteitstheorie rekenkundig, hoofdstuk 2: de lichtsnelheid
De snelheid van een meertrapsraket
Optellen van snelheden zonder invariantie van de lichtsnelheid
De tweelingparadox
Het Casimir-effect
Gravitationele rood-/blauwverschuiving
Getijdenkrachten
Zijn wij vroeg of laat?
De Einstein-Rosen-brug
De invaltijd van een baksteen die in een zwart gat valt
De buitenkant van een wormgat
De integraal van
De astroïde
Het waarneembare universum
Wat is een wormgat?
Overzichtspagina wiskunde
Overzichtspagina natuurkunde
Overzichtspagina filosofie
Doneer enkele euro’s
Wetenschappelijke boeken te koop
Lezingen