Vectoren, vraagstuk 72
De stroomlijnen of veldlijnen van een vectorveld zijn de banen die door een deeltje worden
gevolgd als het snelheidsveld het gegeven vectorveld is.
Dat betekent dus dat de vectoren in een vectorveld raken aan de veldlijnen.
We bekijken nu het (tweedimensionale) vectorveld:
- Gebruik de tekening van het vectorveld om een paar veldlijnen te tekenen. Hoe zouden de vergelijkingen van de veldlijnen er uit kunnen zien?
-
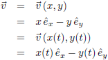
Laat een veldlijn een parametervoorstelling hebben van de vorm:
Leg uit dat de coördinaatfuncties x (t) en y (t) van een veldlijn oplossingen zijn van de differentiaalvergelijkingen:

- Vind een parametervoorstelling en de vergelijking van de veldlijn door het punt (1, 1).
-
Gebruik de tekening van het vectorveld om een paar veldlijnen te tekenen.
Hoe zouden de vergelijkingen van de veldlijnen er uit kunnen zien?
Dit vectorveld ziet er ongeveer zo uit:Met Python geplot ziet dat er zo uit:
Tsja, waar lijkt dit op? Ik heb niet zo veel vectoren getekend, maar ze gaan steiler in de buurt van de y-as en horizontaler in de buurt van de x-as. Daarnaast worden ze groter naarmate ze verder verwijderd zijn van de oorsprong. Dus de veldlijnen (waar deze vectoren aan raken) zien er uit als iets hyperboolachtigs, dus y = a/x of y = a/x2 of iets dergelijks.
-
Laat een veldlijn een parametervoorstelling hebben van de vorm:
Leg uit dat de coördinaatfuncties x (t) en y (t) van een veldlijn oplossingen zijn van de differentiaalvergelijkingen:
Het gegeven vectorveld is een snelheidsveld. De veldlijnen zijn de banen die deeltjes volgen binnen dit veld dus de veldlijnen zijn positielijnen of plaatslijnen of hoe je het ook wilt noemen. Snelheid is de afgeleide van positie:
En als we dit wat verder uitwerken:
Daarnaast weten we ook:
Uit deze beide vergelijkingen volgt:

-
Vind een parametervoorstelling en de vergelijking van de veldlijn door het punt (1, 1).
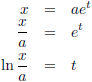
Omdat alleen de e-macht functie zijn eigen afgeleide is kan het niet anders dan:Vervolgens ga ik t schrijven als functie van x:
Daarmee kan ik y herschrijven als:
Het punt (1, 1) is gegeven en die vul ik nu in:
Voor het gemaak kies ik:
De parametervoorstelling wordt dan:
En de vergelijking:
Door naar het volgende vraagstuk: vectoren, vraagstuk 73
Terug naar het vorige vraagstuk: vectoren, vraagstuk 71
Overzichtspagina met vraagstukken
Vraagstukken xref voor de UT
De integraal van
De integraal van
De integraal van
De integraal van
De integraal van
De integralen van
De integralen van
Vectoren, vraagstuk 1
Vectoren, vraagstuk 46
Vectoren, vraagstuk 91
Taylor-reeksen
De Taylor-reeks van
De convergentie van een reeks
De trompet van Torricelli
Holomorfie van de functie
Samenvatting van de holomorfietabel van complexe functies
Uitleg artikel algemene relativiteitstheorie: paragraaf 18
Relativistische periheliumprecessie, 1e orde benadering
De oppervlaktezwaartekracht van een zwart gat
Het traagheidsmoment van een homogene oblate ster
Gravitationele rood-/blauwverschuiving
Getijdenkrachten
Zijn wij vroeg of laat?
De Einstein-Rosen-brug
De invaltijd van een baksteen die in een zwart gat valt
De buitenkant van een wormgat
De integraal van
De astroïde
Het waarneembare universum
Wat is een wormgat?
Overzichtspagina wiskunde
Overzichtspagina natuurkunde
Overzichtspagina filosofie
Doneer enkele euro’s
Wetenschappelijke boeken te koop
Lezingen