De Taylor-reeks van
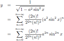
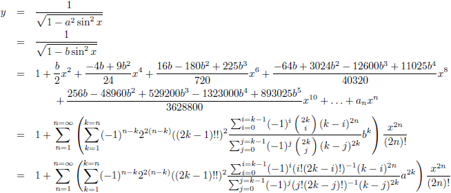
f (x) = 1/(1 − a2 sin2 x)1/2
Trefwoorden/keywords: Taylor-reeks/Taylor series, f (x) = 1/(1 − a2 sin2 x)1/2

De grafiek van f (x) = 1/(1 − a
2 sin
2 x)
1/2 voor a
2 = 0.1 (de rode lijn),
a
2 = 0.5 (de groene lijn) en a
2 = 0.9 (de blauwe lijn)
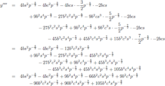
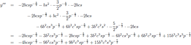
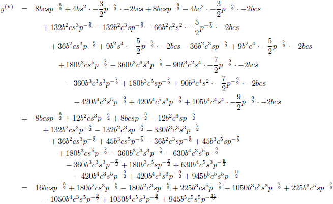
Er moet eerst een aantal malen
gedifferentieerd worden.
Om dat proces zo simpel mogelijk te maken stel ik:
De
afgeleiden hiervan zijn:
Daarmee kan ik de functie schrijven als:
Nou, daar gaan we dan.
Ik ga tien
afgeleiden bepalen:
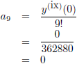
Vervolgens ga ik bij de functie en zijn
afgeleiden
de y-waarde bepalen voor x = 0.
Daarvoor dien ik te bedenken dat:
Uit het laatste volgt dat alle termen waar
sinussen in voorkomen nul worden.
Dat brengt ons bij dit resultaat:
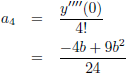
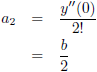
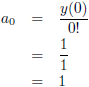
De polynoom-coëfficiënten worden dan:
Het is even puzzelen (best wel heel veel puzzelen eigenlijk), maar de regelmaat hierin is:
Het dubbele faculteit-uitroepteken betekent dat alleen de oneven of even termen met elkaar vermenigvuldigd dienen te worden:
De “2k boven i” respectievelijk “2k boven j” zijn de
binomiaalcoëfficiënten
van het
binomium van Newton:
De teller van de
binomiaalcoëfficiënten
kunnen we uitdelen en we moeten ook nog even bedenken dat:
Hetgeen ons brengt bij deze reeks:
Ik ga die
dubbele faculteiten omschrijven
naar een enkele
faculteit:
Een terechte vraag zou zijn of er niet ergens in de
afgeleiden
die ik hiervoor bepaald heb ergens een foutje geslopen zou kunnen zijn (of ergens anders in).
Om dat te voorkomen heb ik Excel ingezet als controlemiddel.
Mijn Excel-file bevat alle
afgeleiden
(en nog een paar meer) en tevens de Taylor-reeks.

De grafiek van f (x) met daaroverheen de Taylor-reeks voor a
2 = 0.1 (de oranje lijn),
a
2 = 0.5 (de paarse lijn) en a
2 = 0.9 (de grijze lijn),
10 termen meegenomen
Hierboven zie je de grafiek volgens de Taylor-reeks waarbij ik tien termen heb meegenomen.
Vanaf x = π/2 wordt het een zooitje.
In de grafiek hieronder heb ik ingezoomd op het traject van x = 0 tot x = π/2, wederom met tien termen.
Om de reeks nauwkeurig te houden moeten er voor a nadert naar één en/of x nadert naar π/2 meer termen
meegenomen worden.

De grafiek van f (x) met daaroverheen de Taylor-reeks voor a
2 = 0.1 (de oranje lijn),
a
2 = 0.5 (de paarse lijn) en a
2 = 0.9 (de grijze lijn),
10 termen meegenomen
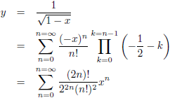
Er is ook nog een hele andere aanpak mogelijk om deze functie in een reeks te ontwikkelen die in bepaalde gevallen voordeel biedt.
In de
tabel met Taylor-reeksen vinden we:
Vervolgens vervang ik simpelweg x door a
2 sin
2 x:
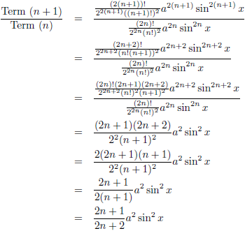
Om te voorkomen dat je tegen de grenzen van je rekenprogramma aanloopt is het wel handig om niet
iedere term opnieuw te berekenen, maar ten opzichte van de voorgaande term:
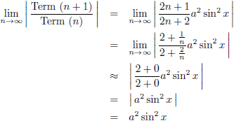
Het is belangrijk om te kijken naar de
convergentie
van deze reeks, want indien de reeks divergeert dan hebben we er niets aan.
De belangrijkste voorwaarde voor
convergentie
is indien de termen uitdoven als het ware, dus als een term voor grote waarden van n kleiner is dan de
voorgaande term (in
absolute waarden
gesproken uiteraard):
Voor deze reeks ziet dat er als volgt uit:
Dit moet kleiner dan één zijn, oftewel a
2 sin
2 x < 1.
De
sinus
strekt zich per definitie uit van −1 tot +1, dus we moeten een beperking opleggen aan de waarde van a.
Sowieso zal a nimmer groter dan één zijn, want dan gaat het
worteltrekken
de mist in.
Indien a = 1 dan krijgt de functie een hele andere vorm, dus die situatie zal ook niet voorkomen.
De convergentievoorwaarde dat | a | < 1 is daarom inherent aanwezig.
Het is wel zo dat naarmate a naar één nadert er steeds meer termen meegenomen moeten worden, een punt van aandacht.

De grafiek van f (x) met daaroverheen de Taylor-reeks voor a
2 = 0.1 (de oranje lijn),
a
2 = 0.5 (de paarse lijn) en a
2 = 0.9 (de grijze lijn),
10 termen meegenomen
Hierboven zie je de grafiek volgens de Taylor-reeks waarbij ik tien termen heb meegenomen.
Deze reeks werkt heel goed over het gehele bereik van x.
Om de reeks nauwkeurig te houden moeten er voor a nadert naar één meer termen meegenomen worden.
In de grafieken hieronder heb ik het aantal termen uitgebreid tot respectievelijk twintig, vijftig en honderd.

De grafiek van f (x) met daaroverheen de Taylor-reeks voor a
2 = 0.1 (de oranje lijn),
a
2 = 0.5 (de paarse lijn) en a
2 = 0.9 (de grijze lijn),
20 termen meegenomen

De grafiek van f (x) met daaroverheen de Taylor-reeks voor a
2 = 0.1 (de oranje lijn),
a
2 = 0.5 (de paarse lijn) en a
2 = 0.9 (de grijze lijn),
50 termen meegenomen

De grafiek van f (x) met daaroverheen de Taylor-reeks voor a
2 = 0.1 (de oranje lijn),
a
2 = 0.5 (de paarse lijn) en a
2 = 0.9 (de grijze lijn),
100 termen meegenomen
Zoals gezegd nemen de problemen toe wanneer a naar één nadert.
In de grafieken hieronder heeft a respectievelijk de waarden 0.9, 0.99 en 0.999.

De grafiek van f (x) (de rode lijn) met daaroverheen de Taylor-reeks voor a = 0.9
met tien termen (de oranje lijn), 20 termen (de lichtgroene lijn), 50 termen (de paarse lijn),
100 termen (de donkerblauwe lijn), 200 termen (de grijze lijn), 500 termen (de bruine lijn),
1000 termen (de lichtblauwe lijn) en 2000 termen (de donkergroene lijn)

De grafiek van f (x) (de rode lijn) met daaroverheen de Taylor-reeks voor a = 0.99
met tien termen (de oranje lijn), 20 termen (de lichtgroene lijn), 50 termen (de paarse lijn),
100 termen (de donkerblauwe lijn), 200 termen (de grijze lijn), 500 termen (de bruine lijn),
1000 termen (de lichtblauwe lijn) en 2000 termen (de donkergroene lijn)

De grafiek van f (x) (de rode lijn) met daaroverheen de Taylor-reeks voor a = 0.999
met tien termen (de oranje lijn), 20 termen (de lichtgroene lijn), 50 termen (de paarse lijn),
100 termen (de donkerblauwe lijn), 200 termen (de grijze lijn), 500 termen (de bruine lijn),
1000 termen (de lichtblauwe lijn) en 2000 termen (de donkergroene lijn)
Hieronder staan de relatieve fouten in een tabel.
| Aantal termen |
| a | 10 | 20 | 50 | 100 | 200 | 500 | 1000 | 2000 |
| 0.9 | −33236 | −3100 | −4 | 0 | 0 | 0 | 0 | 0 |
| 0.99 | −510864 | −361045 | −153183 | −44163 | −4499 | −7 | 0 | 0 |
| 0.999 | −835663 | −773209 | −652227 | −525440 | −370078 | −156884 | −45365 | −4660 |
| Maximale relatieve fout [ppm] |