De integraal van
f (x) = 1/sin (ax)
Trefwoorden/keywords: integraal/integral, integreren/integrate, f (x) = 1/sin (ax)

De grafiek van f (x) = 1/sin (ax) voor a = 1 (de rode lijn),
a = 2 (de groene lijn) en a = 3 (de blauwe lijn)
Deze
integraal
valt echt in de categorie “wolven in schaapskleren”, hij ziet er zo simpel uit maar je kunt je
er volledig op blindstaren.
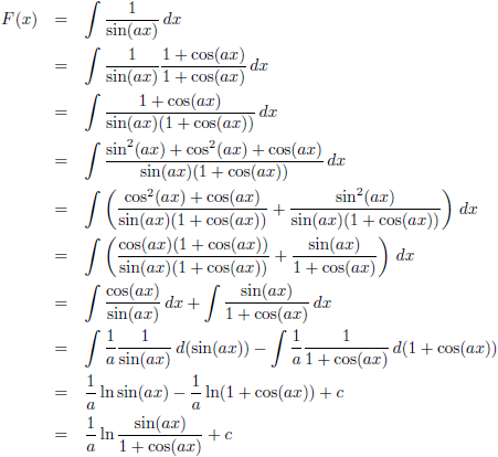
Ik ga gebruik maken van
breuksplitsing en we dienen de
kettingregel van het
differentiëren voor ogen te hebben:
De
integraal wordt dan:
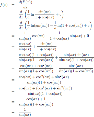
Ter controle ga ik het resultaat
differentiëren:
Nu moet er nog wel iets gebeuren want de
logaritme van een negatief getal kan niet.
De oplossing is simpel, ik neem de
absolute waarde:

De grafiek van F (x) voor a = 1 (de rode lijn),
a = 2 (de groene lijn) en a = 3 (de blauwe lijn), c = 0