Relativiteitstheorie rekenkundig, hoofdstuk 6: voelen

Gewoon even rustig zitten ...

... en het contact met de Aarde voelen
De titel van dit hoofdstuk zal waarschijnlijk bij jou de vraag oproepen waar het heengaat met dit verhaal en daarom zal ik het volgende maar
gelijk bij je voor de voeten werpen: zwaartekracht kun je niet voelen.
Inderdaad, zwaartekracht kun je niet voelen.
Wanneer ik deze zin uitspreek dan zijn de ja-maar’s over het algemeen niet van de lucht.
“Ik voel toch dat de zwaartekracht mij op deze stoel gedrukt houdt” zeggen mensen bijvoorbeeld.
Of ze voelen dat hun voeten op de grond staan of op een andere manier ervaren ze het contact met de Aarde.
Het simpele antwoord is: je voelt inderdaad de stoel of de vloer of het wegdek, maar je voelt geen zwaartekracht.
Dit klinkt wellicht heel flauw maar dat is toch echt datgene wat je werkelijk voelt.
Indien je van een flat afspringt (niet proberen hoor!) dan voel je helemaal niets!
Je voelt wel het angstzweet op je rug staan omdat je weet dat je gaat sterven maar verder voel je absoluut niets.
Dit besef had Einstein honderd jaar geleden ook en hij noemde het later “de gelukkigste gedachte van mijn leven”.
Iemand die ergens ver weg in de ruimte, ver van alle planeten en sterren en dus ver van alles wat zwaartekracht veroorzaakt, rondzweeft
voelt exact hetzelfde als iemand die van een flat afspringt en onder invloed van de zwaartekracht richting aardoppervlak suist.
In beide gevallen voel je helemaal niets, nul-komma-nul.

De vrouw links voelt hetzelfde als de vrouw rechts, namelijk helemaal niets
(afgezien van haar emoties)
Zolang je nog op de flat staat voel je het dak van de flat onder je voeten.
En als je op een stoel zit dan voel je de stoel tegen je zitvlak drukken.
De zwaartekracht trekt je
omlaag waardoor je het dak van de flat respectievelijk de zitting van de stoel ervaart.
Echter, ik kan ook een andere argumentatie gebruiken om jouw gevoel te verklaren.
Ik kan ook stellen dat de hele flat respectievelijk de stoel
omhoog beweegt en daardoor druk op jouw lichaam uitoefent.
Indien er onder de stoel kleine raketmotoren gemonteerd zitten die de stoel met jou daarop omhoog voortstuwen dan zul je precies
dezelfde sensatie voelen als wanneer er zwaartekracht in het spel zou zijn die jou op de stoel gedrukt houdt (ervanuit gaande dat de
raketmotoren de juiste afstelling hebben, overeenkomend met de kracht die de zwaartekracht uitoefent, en volledig geruisloos zijn).
En hetzelfde geldt voor de flat.
Wanneer er onder de flat een stel gigantische raketmotoren gemonteerd zitten dan zul je, staande op het dak van de flat, dezelfde
sensatie voelen als in het geval dat de zwaartekracht jou ‘naar beneden trekt’ en je stevig op het dak van de flat laat staan.

Dit voelt voor de jongen en het meisje precies hetzelfde als wanneer
de bank op de grond staat respectievelijk het meisje op het strand zit
Of je op een stoel zit die omhoog versneld wordt door raketmotoren die onder de stoel gemonteerd zijn of dat je op een stoel gedrukt
wordt door zwaartekracht is in de praktijk
niet van elkaar te onderscheiden.
Vooropgesteld natuurlijk dat we te maken hebben met ideale raketmotoren die geen geluid maken en geen trillingen veroorzaken of andere
bijeffecten hebben die hun aanwezigheid zouden verraden.
En de kracht die de raketmotoren uitoefenen moet natuurlijk zo ingesteld worden dat die precies overeenkomt met de zwaartekracht daar
ter plaatse.
Maar afgezien van dit soort praktische dingetjes zijn zwaartekracht en versnelling absoluut niet van elkaar te onderscheiden.
Met andere woorden, versnelling en zwaartekracht zijn gelijkwaardig en daarom is dit de geschiedenis en de natuurkundeboeken ingegaan
als het
equivalentieprincipe (equivalent betekent gelijkwaardig).

Het
equivalentieprincipe: de situaties boven
(wel zwaartekracht aanwezig) zijn niet te
onderscheiden van de situaties onder (geen zwaartekracht aanwezig, maar wel versnelling)
Wanneer je op een flat staat of op een stoel zit dan voel je indirect de zwaartekracht, maar dit zou ook de versnelling van een of ander
aandrijfsysteem kunnen zijn dat onder de flat of stoel gemonteerd zit.
Spring je van een flat af of ‘hang’ je ergens ver weg in de ruimte rond dan voel je helemaal niets (afgezien van emoties zoals doodsangst
of verlatenheid) en kun je stellen dat er geen versnelling is.
Dus zwaartekracht en versnelling zijn verschillende zijden van dezelfde munt, ze zijn volledig gelijkwaardig.

Het
equivalentieprincipe: de situatie links
(wel zwaartekracht aanwezig) is niet te
onderscheiden van de situatie rechts (geen zwaartekracht aanwezig)

Het
equivalentieprincipe: de situaties boven
(wel zwaartekracht aanwezig) zijn niet te
onderscheiden van de situaties onder (geen zwaartekracht aanwezig, maar wel versnelling),
links voelt ze het dak van het huisje stevig onder haar voeten en het huisje beweegt niet vanuit haar perspectief,
rechts voelt ze helemaal niets (afgezien van haar emoties) en ziet ze in beide gevallen het huisje ‘opstijgen’

Omdat het huisje niets toevoegt wanneer de vrouw niet meer op het dak staat kan het huisje dan
ook wel weggelaten worden (rechts), de bovenstaande vier situaties zijn natuurkundig gezien identiek
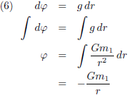
Zwaartekracht wordt beschreven met deze wet van Newton:
Ik schrijf dit even iets anders op:
Die breuk beschrijft de g-kracht die ik gedurende mijn aardse bestaan ervaar:
Oftewel:
Het zwaartekrachtveld is een
conservatief veld, dat wil zeggen dat het niet uitmaakt hoe ik binnen dat veld van een willekeurig punt A naar
een willekeurig punt B ga want het kost mij altijd evenveel arbeid (ongeacht de route).
Dat maakt het rekenwerk heel prettig omdat arbeid kracht maal afgelegde weg is, en anders zou ik dat voor iedere route opnieuw moeten uitrekenen
hetgeen potentieel een zeer lastige klus is.
En het wordt nog beter, want voor een conservatief veld bestaat er altijd een
potentiaalfunctie φ waarvan g de
afgeleide functie is:
Dus de potentiaalfunctie φ is:
Met de potentiaalfunctie kan ik heel simpel de arbeid uitrekenen die benodigd is om van A naar B te komen door de potentiaal in A en de
potentiaal in B van elkaar af te trekken.
Maar nu komt de grote truc.
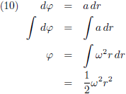
Stel ik zit in een draaimolen.
Door de centripetale (= middelpuntvliedende) kracht word ik tijdens het draaien naar buiten geslingerd, maar omdat versnelling en zwaartekracht
equivalent zijn (zoals we net geleerd hebben) kan ik ook stellen dat ik door een of ander zwaartekrachtveld naar buiten word getrokken.
Indien de draaimolen draait met een hoeksnelheid ω dan ondervind ik de volgende centripetale kracht:
Hierin is de versnelling die ik ervaar:
Omdat zwaartekracht en versnelling equivalent zijn kan ik ook voor deze versnelling op zoek gaan naar een potentiaalfunctie:
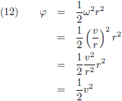
Dan is de potentiaalfunctie φ deze keer:
Voor mijn snelheid geldt:
Waarmee ik de potentiaalfunctie kan schrijven als:
Het
equivalentieprincipe
dicteert dat beide potentiaalfuncties (vergelijkingen (6) en (12)) aan elkaar gelijk moeten zijn.
Maar wel met een minteken, want er is geen massa voor te stellen (waar dan ook) die een (conservatief) veld opwekt die de mensen in de
draaimolen naar buiten trekt.
De enige oplossing is ons een massa in het midden van de draaimolen voor te stellen die een negatieve (afstotende) zwaartekracht genereert,
en daarom dus een minteken.
En zoals je ziet heb ik m
1 nu gewoon m genoemd.
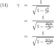
Deze uitdrukking voor v
2 ga ik invullen in de
factor γ
die ik
twee hoofdstukken terug heb gevonden:
Met dit resultaat kan ik berekenen wat zwaartekracht doet met tijd en ruimte.