De integraal van
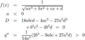
f (x) = 1/(ax3 + bx2 + cx + d)1/2
Trefwoorden/keywords: integraal/integral, integreren/integrate, f (x) = 1/(ax3 + bx2 + cx + d)1/2

De grafiek van f (x) = 1/(ax
3 + bx
2 + cx + d)
1/2 voor a = −2, b = 13, c = −24, d = 9 (de rode lijn),
a = −3, b = 21, c = −45, d = 27 (de groene lijn) en a = −2, b = 20, c = −64, d = 64 (de blauwe lijn)
Gegeven is dat a < 0, dus die
derdegraads vergelijking in de noemer
‘begint’ ergens linksboven (in het tweede kwadrant) en ‘eindigt’ ergens rechtsonder (in het vierde kwadrant).
 a < 0 |
 a > 0 |
Verder is gegeven dat de
discriminant D nul is,
dus er zijn twee nulpunten.
Voor de duidelijkheid maak ik een grafiek van alleen de
derdegraads vergelijking.

De grafiek van f (x) = ax
3 + bx
2 + cx + d voor a = −2, b = 13, c = −24, d = 9 (de rode lijn),
a = −3, b = 21, c = −45, d = 27 (de groene lijn) en a = −2, b = 20, c = −64, d = 64 (de blauwe lijn)
Ik zal ook nog even verticaal inzoomen in de buurt van de horizontale as.

De grafiek van f (x) = ax
3 + bx
2 + cx + d voor a = −2, b = 13, c = −24, d = 9 (de rode lijn),
a = −3, b = 21, c = −45, d = 27 (de groene lijn) en a = −2, b = 20, c = −64, d = 64 (de blauwe lijn)
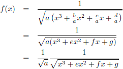
Om te beginnen ga ik die
derdegraads vergelijking normaliseren:
Ik stel:
Hiermee wordt de functie:
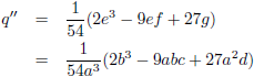
Ik haal er even een hulpvariabele bij:
De
discriminant is nul, dus er zijn twee nulpunten.
Of preciezer gezegd: twee nulpunten vallen samen en vormen een raakpunt.
Die kan ik als volgt berekenen (x
1 is het snijpunt, x
2 is het raakpunt):
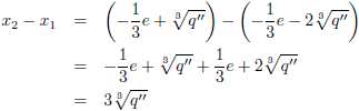
Het verschil van x
2 en x
1 is:
Omdat q'' positief is, is het verschil van x
2 en x
1 ook positief.
Het raakpunt x
2 ligt dus rechts van het snijpunt x
1.
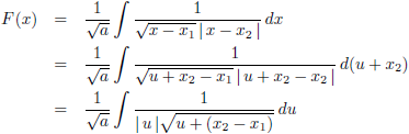
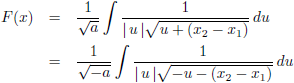
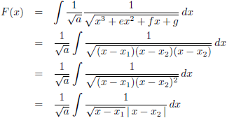
De
integraal wordt dan:
Nu ga ik het hele boeltje verschuiven zodat het raakpunt in de oorsprong komt te liggen.
Ik stel:
Hiermee wordt de
integraal:
Voor de
integraal heb ik 1/√a staan,
maar dat kan helemaal niet omdat a negatief is.
Dat ga ik nu repareren:
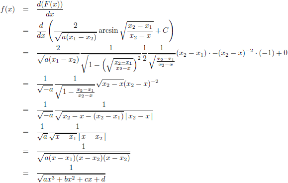
De oplossing van de
integraal van
1/(x (ax − b)
1/2) kun je elders vinden in de
tabel met integralen
(merk op dat er achter de
boogsinus
een minteken verschijnt in verband met de
absolute waarde van u).
Dat brengt ons bij dit tussenresultaat:
Nu moet u uiteraard weer vervangen worden door x:
Ter controle ga ik het resultaat
differentiëren:

De grafiek van F (x) voor a = −2, b = 13, c = −24, d = 9 (de rode lijn),
a = −3, b = 21, c = −45, d = 27 (de groene lijn)
en a = −2, b = 20, c = −64, d = 64 (de blauwe lijn), C = 0