De posities van de Lagrange-punten
Wat zijn Lagrange-punten en waar bevinden die zich?
Stel je hebt twee objecten die om elkaar heen draaien, bijvoorbeeld de Aarde en de Maan, of de Zon en de Aarde, of een dubbelster.
De vraag die Lagrange zich stelde was: is er ergens een derde object toe te voegen aan een dergelijk systeem zodanig dat dit derde
object gaat meedraaien met dezelfde omlooptijd als de andere twee objecten?
Met andere woorden, als we het Zon-Aarde systeem in gedachten nemen dan zou het gaan om een extra object dat ook rondjes gaat draaien
en over ieder rondje, net zoals de Aarde, precies één jaar doet.
De positie van het derde object verandert dus niet ten opzichte van de andere twee objecten omdat alle objecten dezelfde omlooptijd hebben.
Dergelijke posities zijn de Lagrange-punten.
Hierbij gaan we uit van de volgende twee uitgangspunten:
- het derde object heeft een massa die veel kleiner is dan de andere twee objecten zodat het zwaartepunt van het systeem
op dezelfde plaats blijft na toevoeging van het derde object,
- de objecten beschrijven cirkelvormige banen (in werkelijkheid zijn de planeetbanen ellipsen, maar de afwijking van de
perfecte cirkel is vaak gering en dit vereenvoudigt het rekenwerk enorm).
Als we nog even het Zon-Aarde systeem in gedachten houden dan is er uiteraard ergens een punt P tussen de Zon en de Aarde waar de
zwaartekrachten van beide hemellichamen even groot zijn maar tegengesteld gericht.
Per saldo is de zwaartekracht daar dus nul.
Ik noem de massa van de Zon m1 en de massa van de Aarde m2, en de respectievelijke afstanden tot het punt P
r1 en r2.
Ik plaats in het punt P een massa m3 en die ondervindt, volgens de zwaartekrachtwet van Newton, de volgende zwaartekracht
van de Zon:
Hierin is G de gravitatieconstante.
De zwaartekracht die m
3 ondervindt van de Aarde is:
Deze krachten zijn in het punt P in grootte aan elkaar gelijk:
Het punt P is wel leuk om uit te rekenen waar het ligt, zoals we net hebben gedaan, maar dit is
geen Lagrange-punt.
Indien we een object in het punt P plaatsen dan is het een seconde later niet meer in het punt P omdat de andere twee objecten
hun baanbeweging vervolgen en het derde object dat niet volgt.
Zou het derde object wel de baanbeweging van de andere twee objecten volgen dan ontstaat er een middelpuntvliedende kracht,
een centripetale kracht, die het derde object direct uit zijn baan slingert.
Lagrange-punten worden nogal eens benoemd als “punten waar de zwaartekracht wegvalt” of iets van die strekking, maar dat is dus
onzin.
Het punt P dat we net uitgerekend hebben heeft nul en generlei waarde en is zeker geen Lagrange-punt.
Dit gezegd hebbende gaan we nu serieus aan het rekenen.
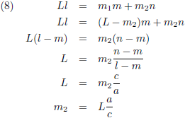
Het eerste dat we willen weten is: waar ligt het zwaartepunt van het systeem?
Het zwaartepunt L bevindt zich ergens tussen m
1 en m
2 en we gaan nu uitrekenen waar dat precies is.
In het zwaartepunt van een systeem van massa’s kun je al die massa’s samengevoegd denken en de afstand van het zwaartepunt tot
een bepaald referentiepunt maal de totale massa is gelijk aan alle afzonderlijke massa’s maal hun respectievelijke afstanden
tot het referentiepunt.
In het bovenstaande plaatje heb ik een oorsprong O aangelegd als referentiepunt en wat afstanden aangegeven.
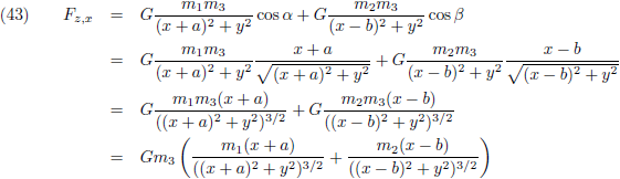
Wat ik zojuist beschreven heb in woorden is in formulevorm:
Bovendien geldt:
Door vergelijking (5) te combineren met vergelijking (4) ontstaat:
Ik geef nog even een paar afstanden aan:
Dan kan ik vergelijking (6) ook schrijven als:
Ik had uit de vergelijkingen (4) en (5) ook m
1 kunnen elimineren:
De objecten m
1 en m
2 draaien rondjes om het zwaartepunt L op afstanden a respectievelijk b.
Ieder object ondervindt een centripetale kracht die gelijk is aan:
Hierin is r de afstand tot het zwaartepunt.
Omdat bovendien geldt (ω is de
hoeksnelheid):
Dan kunnen we vergelijking (9) ook schrijven als:
De zwaartekracht die m
2 ondervindt van m
1 is:
En de centripetale kracht die m
2 ondervindt is:
Deze twee krachten houden elkaar in evenwicht:
Met behulp van vergelijking (7) kom ik dan tot:
Deze afleiding kan ik natuurlijk ook doen voor m
1.
De zwaartekracht die m
1 ondervindt van m
2 is:
En de centripetale kracht die m
1 ondervindt is:
Deze twee krachten houden elkaar wederom in evenwicht:
Met behulp van vergelijking (8) kom ik dan tot:
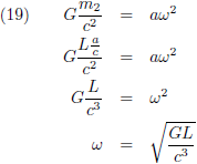
En hier komt uiteraard weer hetzelfde uit voor de hoeksnelheid ω.
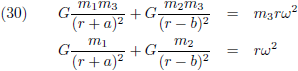
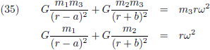
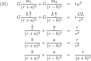
Voor ieder Lagrange-punt dat we gaan vinden moet dus ook gelden:
Vergelijking (20) is de geschiedenisboekjes ingegaan als de derde wet van Kepler.
Zou er een Lagrange-punt bestaan op de lijn m
1 - m
2 tussen m
1 en m
2 in?
Voor het gemak heb ik het zwaartepunt L verplaatst naar de oorsprong.
De zwaartekracht die m
3 ondervindt van m
1 en m
2 is:
En de centripetale kracht die m
3 ondervindt is:
Deze krachten moeten elkaar in evenwicht houden:
Even een opmerking: strikt genomen zoeken we hier een oplossing van de krachtenwet van Newton die ik hieronder in vier verschillende
gedaantes geef (in vectorvorm, want krachten hebben zowel een grootte als een richting):
Een oplossing van deze vergelijkingen is dat objecten cirkelvormige banen om elkaar heen gaan beschrijven.
Aan de linkerkant staan de echte krachten, in dit geval de zwaartekracht, en aan de rechterkant staat de bewegingsoplossing.
Deze bewegingsoplossing heeft uiteraard ook de dimensie van een kracht (de essentie van een vergelijking is immers dat links
en rechts dezelfde ‘dingen’ staan want anders vergelijk je appels met peren) en dat noemen we een
schijnkracht.
De schijnkracht is geen echte kracht maar een wiskundige abstractie.
Wanneer je in een draaimolen zit dan zorgt de draaimolen dat je continu afgebogen wordt van een rechte lijn.
Dat de draaimolen aan je trekt is de echte kracht.
De centripetale kracht die ‘je naar buiten slingert’ bestaat enkel als wiskundig fenomeen.
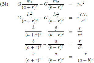
Met behulp van de vergelijkingen (7), (8) en (20) kan ik vergelijking (23) omschrijven naar:
Soms zit het mee, soms zit het tegen...
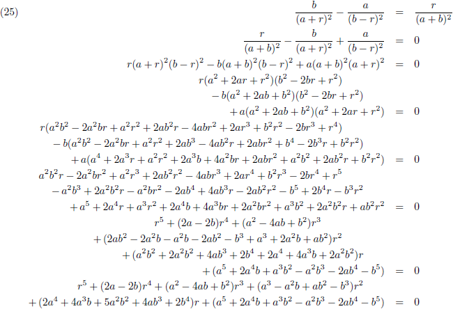
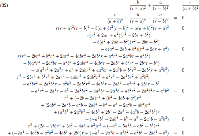
Er zit nu niets anders op dan alle haakjes weg te werken:
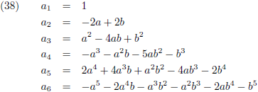
En vervolgens zitten we met een vijfdegraads functie die we op moeten lossen.
Een dergelijke functie heeft minstens één nulpunt en die willen we vinden.
Ik schrijf vergelijking (25) als volgt:
Oftewel:
Laten we dit eens oplossen voor het Zon-Aarde systeem.
Daarvan weten we:
In ons geval geldt:
Vergelijking (26) is niet rechtstreeks op te lossen, maar gelukkig hebben wij, in tegenstelling tot meneer Lagrange, de beschikking
over computers.
Door dit probleem in een Excel-file te zetten kom ik tot een oplossing en vind ik het eerste Lagrange-punt L
1.
Tevens blijkt dat er maar één oplossing is, dus tussen m
1 en m
2 bevinden zich geen andere Lagrange-punten.
De volgende vraag is of er Lagrange-punten bestaan op de lijn m
1 - m
2 die rechts van m
2 liggen?
Net als in vergelijking (21) kan ik weer opschrijven wat m
3 ondervindt aan zwaartekracht van m
1 en m
2.
Er vinden wat tekenwisselingen plaats maar verder ziet de vergelijking er hetzelfde uit:
Vergelijking (22) blijft ongewijzigd:
Voor het krachtenevenwicht geldt dus:
Met behulp van de vergelijkingen (7), (8) en (20) kan ik dit weer omschrijven:
Vervolgens werk ik de haakjes weg:
Zo hebben we nog een vijfdegraads functie gevonden als vergelijking (26)
Ditmaal met de volgende coëfficienten:
Door dit uit te rekenen met Excel kom ik tot het tweede Lagrange-punt L
2.
Vervolgens kijken we ook nog links van m
1.
De zwaartekracht die m
3 ondervindt is:
Vergelijking (22) blijft ongewijzigd:
Voor het krachtenevenwicht geldt dus:
Met behulp van de vergelijkingen (7), (8) en (20) kan ik dit weer omschrijven:
De volgende stap is haakjes wegwerken:
Zo hebben we nog een vijfdegraads functie gevonden als vergelijking (26)
Ditmaal met de volgende coëfficienten:
Dit heb ik ook toegevoegd in mijn Excel-file en dat geeft mij het derde Lagrange-punt L
3.
Ik zet de resultaten voor het Zon-Aarde systeem even in een tabel:
|
Ten opzichte van middelpunt m1 |
Ten opzichte van zwaartepunt |
Ten opzichte van middelpunt m2 |
|
| Middelpunt m1 |
0.00000000E+00 |
−4.49333793E+05 |
−1.49597871E+11 |
m |
| Zwaartepunt |
4.49333793E+05 |
0.00000000E+00 |
−1.49597421E+11 |
m |
| Middelpunt m2 |
1.49597871E+11 |
1.49597421E+11 |
0.00000000E+00 |
m |
| L1 |
1.48106298E+11 |
1.48105849E+11 |
−1.49157250E+09 |
m |
| L2 |
1.51099424E+11 |
1.51098975E+11 |
1.50155355E+09 |
m |
| L3 |
−1.49597609E+11 |
−1.49598058E+11 |
−2.99195479E+11 |
m |
| L1/a |
|
3.29612086E+05 |
|
|
| L2/a |
|
3.36273339E+05 |
|
|
| L3/a |
|
−3.32933023E+05 |
|
|
| L1/b |
|
9.90029424E−01 |
|
|
| L2/b |
|
1.01003730E+00 |
|
|
| L3/b |
|
−1.00000426E+00 |
|
|
| L1/c |
9.90029454E−01 |
|
−9.97054634E−03 |
|
| L2/c |
1.01003727E+00 |
|
1.00372655E−02 |
|
| L3/c |
−9.99998248E−01 |
|
−1.99999825E+00 |
|
| Tabel 1 |
Merk op dat:
- het zwaartepunt L ligt op minder dan 450 km van het middelpunt van de Zon, met andere woorden: L ligt in de Zon,
- de punten L1 en L2 liggen vlakbij de Aarde, als ik stel dat de afstand Zon-Aarde 100% is dan liggen
L1 en L2 op slechts één procent vanaf de Aarde,
- L3 ligt vanaf de Aarde gezien aan de andere kant van de Zon op nagenoeg dezelfde afstand van de Zon
(een fractie dichterbij),
- L3 bevindt zich dan wel een fractie dichterbij de Zon dan het middelpunt van de Aarde (het scheelt 262 km),
maar bevindt zich desondanks buiten de baan van de Aarde (het scheelt 637 km).
Verder is bekend:
Als ik van links naar rechts beweeg over de lijn, die m
1 en m
2 verbindt, dan kom ik achtereenvolgens tegen
(het punt P waar de zwaartekrachten van beide massa’s elkaar opheffen heb ik aangegeven als “Nul zwaartekracht”):
| L3 |
−149.598.058 |
km |
| Oppervlak m1 |
−696.449 |
km |
| Middelpunt m1 |
−449 |
km |
| Zwaartepunt |
0 |
km |
| Oppervlak m1 |
695.551 |
km |
| L1 |
148.105.849 |
km |
| Nul zwaartekracht |
149.338.603 |
km |
| Oppervlak m2 |
149.591.043 |
km |
| Middelpunt m2 |
149.597.421 |
km |
| Oppervlak m2 |
149.603.799 |
km |
| L2 |
151.098.975 |
km |
| Tabel 2 |
De vraag dringt zich uiteraard op (of niet?) of er ergens nog meer Lagrange-punten zijn?
Ik heb m
3 nu op een willekeurige positie gezet.
De zwaartekracht die m
3 ondervindt van m
1 is:
En de zwaartekracht die m
3 ondervindt van m
2 is:
Maar nu mag ik deze twee krachten niet zomaar bij elkaar optellen, of aftrekken, omdat ze niet in dezelfde richting werken.
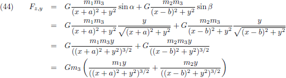
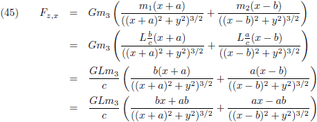
Ik ga deze twee krachten ontbinden in componenten in de x-richting en y-richting en ze vervolgens optellen:
Die
sinussen en
cosinussen kan ik wegwerken als volgt:
Met behulp van de vergelijkingen (7) en (8) kom ik tot:
De centripetale kracht op m
3 werkt langs de lijn door L en m
3.
Om een krachtenevenwicht te bereiken moet de zwaartekracht ook langs die lijn werken (maar uiteraard de andere kant op).
Dus de x-component en de y-component van de zwaartekracht die op m
3 inwerkt moeten zich verhouden als de
x-coördinaat en de y-coördinaat van de positie waar m
3 zich bevindt.
Oftewel:
In woorden betekent dit: de afstand van m
1 tot m
3 (de rechterterm) is gelijk aan de afstand van
m
2 tot m
3 (de linkerterm) en die afstand noem ik d.
Daarmee kan ik de componenten van de zwaartekracht, vergelijkingen (45) en (46), ook schrijven als:
De totale zwaartekracht die m
3 ondervindt wordt dan:
Deze zwaartekracht moet in evenwicht zijn met de centripetale kracht:
Tenslotte maak ik voor de laatste keer gebruik van vergelijking (20):
Indien de massa’s m
1, m
2 en m
3 een perfecte gelijkzijdige driehoek vormen (met zijden c) dan
bevindt m
3 zich in een Lagrange-punt.
Er zijn twee van zulke driehoeken te vormen: met de top naar boven gericht en met de top naar beneden gericht.
De eerste noemen we L
4 en de tweede L
5.
Omdat planeten in ons zonnestelsel tegen de wijzers van de klok in bewegen loopt L
4 voor op de planeet en
L
5 loopt
achter de planeet aan.
En dat is de norm geworden, dus wanneer een planeet ‘de andere kant’ opdraait dan ligt L
4 aan de andere kant zodat hij
toch de voorloper is (en L
5 de volger).
Waar liggen L
4 en L
5 precies?
De x-positie van L
4 ligt halverwege m
1 en m
2.
De afstand van m
1 tot m
2 is c, dus dan is de x-coördinaat (want de oorsprong ligt in het zwaartepunt):
De y-coördinaat (de hoogte van de driehoek) is:
Hetgeen natuurlijk niet verrassend is want we hebben te maken met een driehoek met hoeken van zestig graden.
De afstand van L
4 tot het zwaartepunt wordt dan:
En dezelfde afstand geldt natuurlijk ook voor L
5.
Het object m
2 draait op een afstand b om het zwaartepunt heen en L
4 en L
5 liggen iets verder weg.
Voor het Zon-Aarde systeem bevinden L
4 en L
5 zich 225 km buiten de aardbaan.
Geen afstanden om wakker van te liggen maar we zijn nu aan het rekenen en dan willen we het ook goed doen.
Toch?
Laat ik alles even samenvatten.
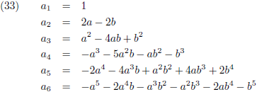
Er zijn vijf Lagrange-punten, punten waar zwaartekracht en centripetale kracht in evenwicht zijn.
Drie punten kunnen gevonden worden door het oplossen van de vergelijking:
Voor L
1 geldt:
Voor L
2 geldt:
Voor L
3 geldt:
L
4 en L
5 liggen in een perfecte gelijkzijdige driehoek met m
1 en m
2:
Voor het Zon-Aarde-Maan-systeem ziet het er dan zo uit (het plaatje is niet op schaal):