Vectoren, vraagstuk 17
Gegeven het vlak V met parametervoorstelling:
En de vectoren:




- Bereken een normaalvector op V.
- Bereken de loodrechte afstand van V tot de oorsprong.
- Bepaal een (andere) parametervoorstelling van V, waarbij de steunvector en de beide richtingsvectoren alle drie onderling loodrecht zijn.

Het vlak V met richtingsvectoren v en w en normaalvector n
-
Bereken een normaalvector op V.
Om een normaalvector te berekenen nemen we het uitwendig product van de beide richtingsvectoren van het vlak:
-
Bereken de loodrechte afstand van V tot de oorsprong.
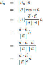
De projectie van de steunvector a op n is an. Dit is | an | maal een ‘eenheidsstukje’ van n, dus:We rekenen nu eerst het inwendig product a ∙ n uit:
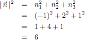
En vervolgens | n |2:
Daarmee wordt de projectie:
De afstand tot de oorsprong is de absolute waarde hiervan:
-
Bepaal een (andere) parametervoorstelling van V, waarbij de steunvector en de beide richtingsvectoren
alle drie onderling loodrecht zijn.
Door het uitwendig product te nemen van de eerste richtingsvector met de normaalvector krijgen we een nieuwe vector die loodrecht op de eerste richtingsvector staat en loodrecht op de normaalvector. Dat wordt dan de nieuwe tweede richtingsvector:En als loodrechte steunvector s gebruiken we de projectie van de steunvector a op de normaalvector n (die we al hebben uitgerekend):
Daarmee wordt de nieuwe parametervoorstelling van het vlak:
Door naar het volgende vraagstuk: vectoren, vraagstuk 18
Terug naar het vorige vraagstuk: vectoren, vraagstuk 16
Overzichtspagina met vraagstukken
Vraagstukken xref voor de UT
De integraal van
De integraal van
De integraal van
De integraal van
De integralen van
De integralen van
Vectoren, vraagstuk 63
De Taylor-reeks van
De Taylor-reeks van
Differentiaal geometrie
De gammafunctie
Holomorfie van de functie
Relativiteitstheorie rekenkundig, hoofdstuk 4: de zaklamp
De vrouw en haar spiegel
Lineariteit van de Lorentz-transformaties
Het waarneembare universum
Fourier-analyse van het onzekerheidsprincipe van Heisenberg (I)
Hoe ziet de wereld er morgen uit?
Gravitationele rood-/blauwverschuiving
Getijdenkrachten
Zijn wij vroeg of laat?
De Einstein-Rosen-brug
De invaltijd van een baksteen die in een zwart gat valt
De buitenkant van een wormgat
De integraal van
De astroïde
Wat is een wormgat?
Overzichtspagina wiskunde
Overzichtspagina natuurkunde
Overzichtspagina filosofie
Doneer enkele euro’s
Wetenschappelijke boeken te koop
Lezingen