De integralen van
f (x) = xn ∙ 1/(ax ± b)1/2
Trefwoorden/keywords: integraal/integral, integreren/integrate, f (x) = xn ∙ 1/(ax ± b)1/2

De grafiek van f (x) = xn/(ax + b)1/2 voor n = −1 (de rode lijn),
n = 0 (de groene lijn) en n = 1 (de blauwe lijn),
en de grafiek van f (x) = xn/(ax − b)1/2 voor n = −1 (de oranje lijn),
n = 0 (de paarse lijn) en n = 1 (de grijze lijn), a = 1, b = 5
































































Naar de volgende tabel: de integralen van
Naar de vorige tabel: de integralen van
Tabel met integralen
Differentiëren
Integreren
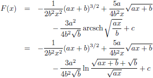
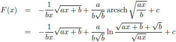
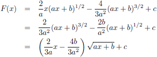
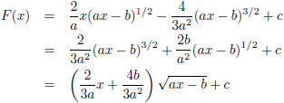
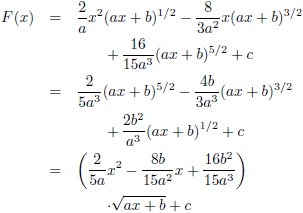
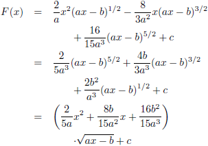
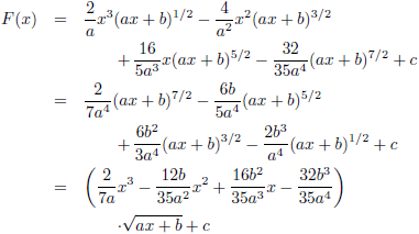
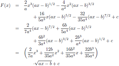
De integraal van
De integraal van
De integraal van
De integraal van
De integraal van
De integralen van
Vectoren
Vectoren, vraagstuk 32
Vectoren, vraagstuk 77
De Bianchi-identiteit
De Taylor-reeks van
De Taylor-reeksen van
De stelling van Green
Holomorfie van de functie
Holomorfie van de functie
Uitleg artikel algemene relativiteitstheorie: inleiding hoofdstuk B
De Lorentz-factor
De uitdijing van het heelal
Astronomie
Gravitationele rood-/blauwverschuiving
Getijdenkrachten
Zijn wij vroeg of laat?
De Einstein-Rosen-brug
De invaltijd van een baksteen die in een zwart gat valt
De buitenkant van een wormgat
De integraal van
De astroïde
Het waarneembare universum
Wat is een wormgat?
Overzichtspagina wiskunde
Overzichtspagina natuurkunde
Overzichtspagina filosofie
Doneer enkele euro’s
Wetenschappelijke boeken te koop
Lezingen