Vectoren, vraagstuk 91
Door een bol met straal a is een cilindervormig gat geboord met straal b (b < a) waardoor een
ringvormig object ontstaat.
- Bereken de inhoud van de ring.
- Bereken de oppervlakte van het overgebleven deel van het boloppervlak.

De bol met het cilindervormige gat
-
Bereken de inhoud van de ring.
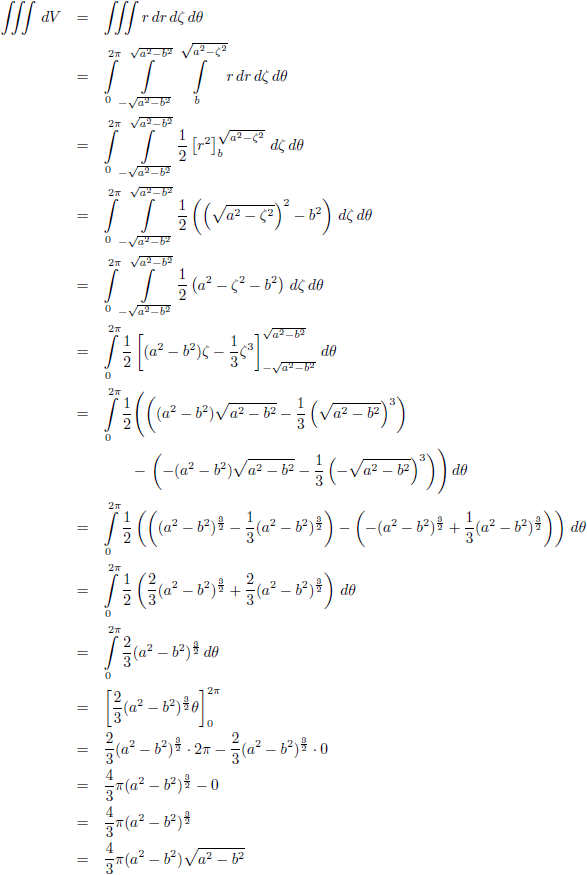
Voor de bol geldt:Mijn regel is: dit is een omwentelingslichaam om de z-as dus over naar cilindercoördinaten:
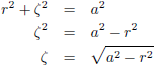
Voor de relatie tussen r en ζ geldt:


Waardoor de grenzen voor r worden:
Dan is het volume:

Het volume van de ring als functie van b, a = 1 -
Bereken de oppervlakte van het overgebleven deel van het boloppervlak.
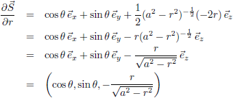
Voor het oppervlak S kan ik schrijven:Ik kan ζ schrijven als functie van r:
En hier heb ik zomaar alle negatieve waarden van ζ verwijderd (omdat ik de wortel erin gebracht heb). Dat moeten we even in ons achterhoofd houden. De parametrisering van S is dan:
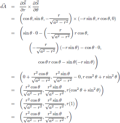
Door partieel te differentiëren verkrijg ik twee raakvectoren aan het oppervlak:
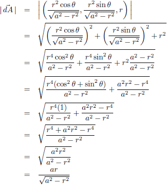
De vector dA volgt uit het uitwendig product van de raakvectoren:
De vector dA representeert een stukje oppervlak dA en die wil ik weten:
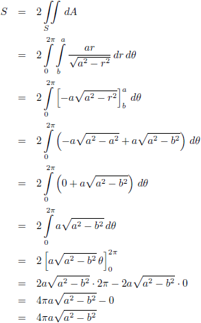
Door alle stukjes dA te integreren over het totale oppervlak S kom ik aan de oppervlakte van S. De factor twee voor de integraal komt erbij omdat ik hierboven alle negatieve waarden van ζ buitenspel heb gezet en dat corrigeer ik nu op deze manier:

Het oppervlak van de ring als functie van b, a = 1
Door naar het volgende vraagstuk: vectoren, vraagstuk 92
Terug naar het vorige vraagstuk: vectoren, vraagstuk 90
Overzichtspagina met vraagstukken
Vraagstukken xref voor de UT
De integraal van
De integraal van
De integraal van
De integraal van
De integraal van
De integralen van
De integralen van
Vectoren, vraagstuk 25
Vectoren, vraagstuk 70
Christoffel-symbolen van de eerste soort bij een diagonale metriek
De Taylor-reeks van
Tabellen met Taylor-reeksen
De schipbreukeling op het eiland
De gammafunctie
Holomorfie van de functie
Uitleg artikel algemene relativiteitstheorie
De Lorentz-transformaties
De Schwarzschild-oplossing van de algemene relativiteitstheorie
Astronomie
Elektriciteit en magnetisme
Gravitationele rood-/blauwverschuiving
Getijdenkrachten
Zijn wij vroeg of laat?
De Einstein-Rosen-brug
De invaltijd van een baksteen die in een zwart gat valt
De buitenkant van een wormgat
De integraal van
De astroïde
Het waarneembare universum
Wat is een wormgat?
Overzichtspagina wiskunde
Overzichtspagina natuurkunde
Overzichtspagina filosofie
Doneer enkele euro’s
Wetenschappelijke boeken te koop
Lezingen