Vectoren, vraagstuk 65
Gegeven de kromme k met parametrisering:
En het vectorveld:
- Bepaal de waarde van het veld op k als functie van t.
-
Vul in:
-
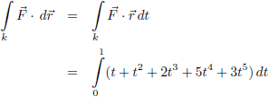
Bereken:

De grafiek van r (t) = (x = t, y = t2, z = t3)

Het vectorveld F
-
Bepaal de waarde van het veld op k als functie van t.
Uit de parametrisering van de kromme kunnen we aflezen:Waaruit volgt voor het vectorveld:


-
Vul in:
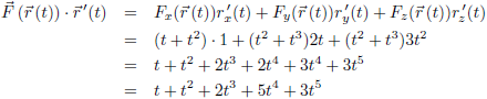
Ik bepaal eerst de afgeleide van de kromme:
Dan wordt het inwendig product van deze afgeleide met het vectorveld:
En hieruit volgt voor de integraal:
-
Bereken:
De uitwerking van deze integraal levert op:
Door naar het volgende vraagstuk: vectoren, vraagstuk 66
Terug naar het vorige vraagstuk: vectoren, vraagstuk 64
Overzichtspagina met vraagstukken
Vraagstukken xref voor de UT
De integraal van
De integraal van
De integraal van
De integraal van
De integralen van
De integralen van
Vectoren, vraagstuk 7
Vectoren, vraagstuk 52
Invariantie van het inwendig product
Taylor-reeksen
De Taylor-reeks van
Een reeks afsplitsen van
Faculteiten
Holomorfie van de functie
Relativiteitstheorie basic, hoofdstuk 2: de lichtsnelheid
Fouten in het oorspronkelijke artikel over de algemene relativiteitstheorie
De relativistische rotatie-energie van een massieve bol
Een botsing met een zandkorrel
Een lichtjaar omrekenen naar parsecs en vice versa
Afleiding van de wet van Betz
Gravitationele rood-/blauwverschuiving
Getijdenkrachten
Zijn wij vroeg of laat?
De Einstein-Rosen-brug
De invaltijd van een baksteen die in een zwart gat valt
De buitenkant van een wormgat
De integraal van
De astroïde
Het waarneembare universum
Wat is een wormgat?
Overzichtspagina wiskunde
Overzichtspagina natuurkunde
Overzichtspagina filosofie
Doneer enkele euro’s
Wetenschappelijke boeken te koop
Lezingen