De integraal van
f (x) = x2/(−a2 + x2)1/2
Trefwoorden/keywords: integraal/integral, integreren/integrate, f (x) = x2/(−a2 + x2)1/2

De grafiek van f (x) = x
2/(−a
2 + x
2)
1/2 voor a = 1 (de rode lijn),
a = 2 (de groene lijn) en a = 3 (de blauwe lijn)
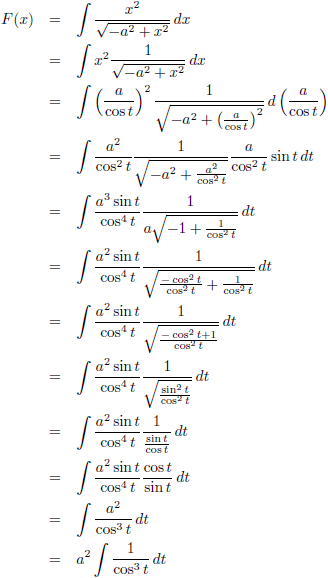
Voor het
integreren van deze functie maak ik gebruik van
goniometrische substitutie door secans of cosecans:
De
integraal wordt dan:
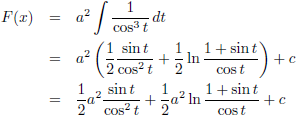
De oplossing van de
integraal
van 1/cos
3 x kun je elders vinden in de
tabel met integralen.
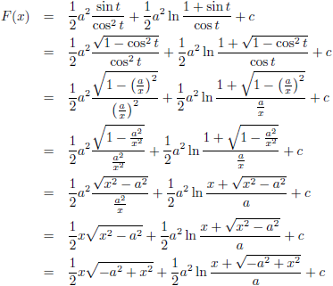
Dat brengt ons bij dit tussenresultaat:
Nu moet t uiteraard weer vervangen worden door x:
Ter controle ga ik het resultaat
differentiëren:
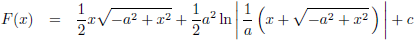
Nu moet er nog wel iets gebeuren want de
logaritme van een negatief getal kan niet.
De oplossing is simpel, ik neem de
absolute waarde:

De grafiek van F (x) voor a = 1 (de rode lijn),
a = 2 (de groene lijn) en a = 3 (de blauwe lijn), c = 0