Vectoren, vraagstuk 45
Gegeven is het scalarveld G door:
Gegeven zijn ook de punten:

N is het niveau-oppervlak van G door het punt a.

-
Bepaal de volgende richtingsafgeleide
waarbij v de richting van punt a naar punt b is:
- Bepaal een normaalvector in het punt a op het niveau-oppervlak N.
- Bepaal een parametervoorstelling van het raakvlak aan N in het punt a.

De grafiek van G (x, y, z) = z ln ((xz + 1)/(y + 2)) voor z = 0

De grafiek van G (x, y, z) = z ln ((xz + 1)/(y + 2)) voor z = 1

De grafiek van G (x, y, z) = z ln ((xz + 1)/(y + 2)) voor z = 2

De grafiek van G (x, y, z) = z ln ((xz + 1)/(y + 2)) voor z = 3
-
Bepaal de volgende richtingsafgeleide
waarbij v de richting van punt a naar punt b is:
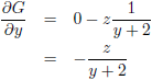
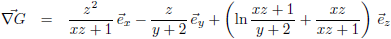
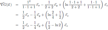
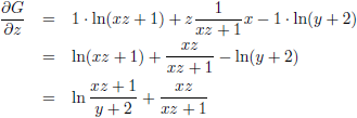
Om de gradiënt van G te berekenen bepalen we eerst alle partiële afgeleiden, maar daarvoor schrijf ik eerst de vergelijking voor het scalarveld G wat anders:
Nu ga ik differentiëren:
Daarmee is de gradiënt van G in een willekeurig punt:

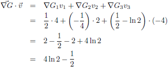
Vervolgens vullen we het punt a in:
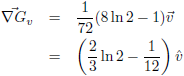
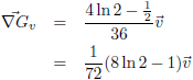
De richting van a naar b is:
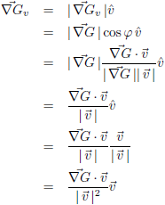
De gradiënt in de richting van v is de projectie van
G op v,
oftewel
Gv.
Dit is |
Gv | maal een ‘eenheidsstukje’ van v, dus:
We rekenen nu eerst het inwendig product
G ∙ v uit:
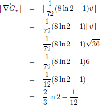
En vervolgens | v |2:
Daarmee wordt de projectie:
Met als norm:
Oftewel:
-
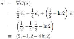
Bepaal een normaalvector in het punt a op het niveau-oppervlak N.
De gradiënt is een normaalvector op het niveau-oppervlak, dus:
-
Bepaal een parametervoorstelling van het raakvlak aan N in het punt a.
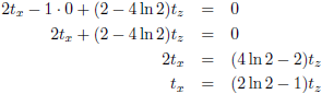
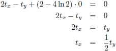
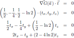
De gradiënt is een normaalvector op het niveau-oppervlak, dus het inwendig product van de gradiënt met de richtingsvectoren van het niveau-oppervlak moet nul zijn:Ik kan er vervolgens voor kiezen tx of ty of tz nul te stellen:
Waardoor ik dit drietal richtingsvectoren tot mijn beschikking krijg:

Waarvan ik er twee uit kan kiezen voor het raakvlak aan N (en ik kies uiteraard a als steunvector):

Door naar het volgende vraagstuk: vectoren, vraagstuk 46
Terug naar het vorige vraagstuk: vectoren, vraagstuk 44
Overzichtspagina met vraagstukken
Vraagstukken xref voor de UT
De integraal van
De integraal van
De integraal van
De integraal van
De integralen van
Vectoren
Vectoren, vraagstuk 36
Vectoren, vraagstuk 81
Hoe vormt zich de Ricci-scalar?
De Taylor-reeks van
De Taylor-reeksen van
De stelling van Green
Holomorfie van de functie
Integreren van complexe functies
Uitleg artikel algemene relativiteitstheorie: paragraaf 8
De transformatievergelijking voor de energie van EM-golven
De naam van een zwart gat
Seculaire verstoringen
Oplossing voor de wet van Poisson
De illusies die wij leven
Gravitationele rood-/blauwverschuiving
Getijdenkrachten
Zijn wij vroeg of laat?
De Einstein-Rosen-brug
De invaltijd van een baksteen die in een zwart gat valt
De buitenkant van een wormgat
De integraal van
De astroïde
Het waarneembare universum
Wat is een wormgat?
Overzichtspagina wiskunde
Overzichtspagina natuurkunde
Overzichtspagina filosofie
Doneer enkele euro’s
Wetenschappelijke boeken te koop
Lezingen