Vectoren, vraagstuk 46
Teken de volgende krommen en beschrijf deze krommen meetkundig:
-
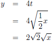
De x-component kunnen we omschrijven als volgt:
En dat kunnen we invullen in de y-component:
Dit is de vergelijking voor een wortelfunctie, of anders gezegd: een parabool op zijn kant.

De grafiek van y = 2√2√x -
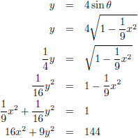
De x-component kunnen we omschrijven als volgt:
En dat kunnen we invullen in de y-component:
Dit is de vergelijking voor een ellips, en omdat z = 3 is dit een ellips in het vlak z = 3.
Daar kunnen we natuurlijk ook een mooi 3D-plaatje van maken:
De grafiek van 16x2 + 9y2 = 144, z = 3
De grafiek van r (θ) = (x = 3 cos θ, y = 4 sin θ, z = 3)
Door naar het volgende vraagstuk: vectoren, vraagstuk 47
Terug naar het vorige vraagstuk: vectoren, vraagstuk 45
Overzichtspagina met vraagstukken
Vraagstukken xref voor de UT
De integraal van
De integraal van
De integraal van
De integraal van
De integraal van
De integralen van
Vectoren
Vectoren, vraagstuk 34
Vectoren, vraagstuk 79
Wat is de metrische tensor?
De Taylor-reeks van
De Taylor-reeksen van
De stelling van Green
Holomorfie van de functie
Holomorfie van de functie
Uitleg artikel algemene relativiteitstheorie: paragraaf 6
De automobilist die door rood reed
De invaltijd van een baksteen die in een zwart gat valt
Astronomie
De wetten van Maxwell met potentialen
Gravitationele rood-/blauwverschuiving
Getijdenkrachten
Zijn wij vroeg of laat?
De Einstein-Rosen-brug
De invaltijd van een baksteen die in een zwart gat valt
De buitenkant van een wormgat
De astroïde
Het waarneembare universum
Wat is een wormgat?
Overzichtspagina wiskunde
Overzichtspagina natuurkunde
Overzichtspagina filosofie
Doneer enkele euro’s
Wetenschappelijke boeken te koop
Lezingen