Een geodetische lijn rondom een puntmassa

Leid de differentiaalvergelijkingen af van een geodetische lijn rondom een puntmassa, uitgaande van de Schwarzschild-oplossing.

Schwarzschild

Mijn vertrekpunt voor deze afleiding is de Schwarzschild-oplossing:

Door links en rechts de wortel te nemen krijg ik een uitdrukking voor het interval ds:
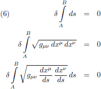
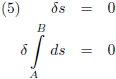
Het interval geeft de afstand aan tussen twee gebeurtenissen, of wat wiskundiger gezegd hoe iets van het ene punt in de vierdimensionale ruimtetijd naar het volgende punt gaat. Indien dat geodetisch gebeurt dan laat dat ‘iets’ zich meevoeren door de kromming van de ruimtetijd zoals de metrische tensor dat beschrijft:
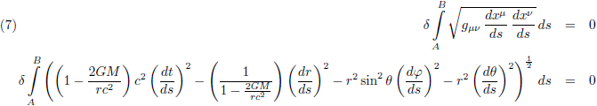
Het totale geodetische pad dat afgelegd wordt van punt A naar punt B is de som van alle stukje ds die onderweg afgelegd worden:
En hier mogen geen afwijkingen op zijn (die moeten nul zijn), want anders is het traject niet meer geodetisch. Dus we gaan een stukje variatiewiskunde doen en ik eis (waarbij ik direct gebruik maak van vergelijking (4)):
Dit combineer ik met vergelijking (3):
Vervolgens vul ik de Schwarzschild-oplossing in, want die beschrijft (in dit geval) de metrische tensor:

Euler

Lagrange

Om hiermee verder te komen ga ik gebruik maken van de Euler-Lagrange-vergelijking:

Hierin komt x overeen met onze parameter s, f is de functie binnen de wortel van vergelijking (7) (dat is heel prettig), en yn is respectievelijk t, r, φ en θ. Ik ga de Euler-Lagrange-vergelijking inzetten voor t en φ:

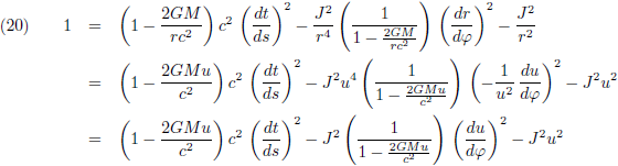
Deze resultaten parkeer ik even. Ik grijp weer terug op vergelijking (1), waar ik dit hele verhaal mee begon, en ik deel links en rechts door ds2:
Ik stel:
Waaruit volgt:

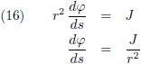
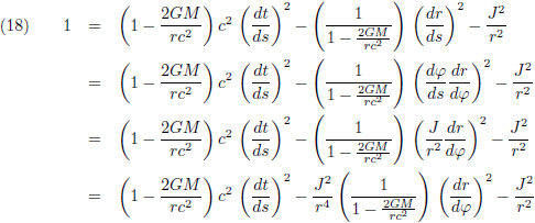
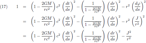
Dus de puntmassa bevindt zich in de oorsprong en ik ga ervanuit dat de geodetische lijn zich ter hoogte van de evenaar om die puntmassa bevindt. Die evenaar mag ik uiteraard vrij kiezen (want er is bolsymmetrie), dus deze aanname is legitiem. Vergelijking (10) wordt dan:
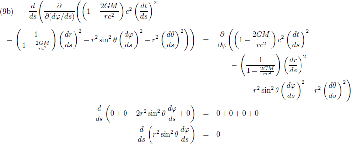
En vergelijking (9b) wordt:
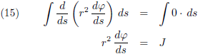
Vergelijking (14) ga ik aan beide zijden integreren naar s:

Kepler

Waarin J een constante is. In vergelijking (15) herkennen we uiteraard (toch?) de relativistische variant van de tweede wet van Kepler (de perkenwet). Perken krijgen uiteraard een hele andere betekenis in een gekromde ruimte, maar de geldigheid van de perkenwet blijft overeind. Die ga ik iets anders opschrijven:

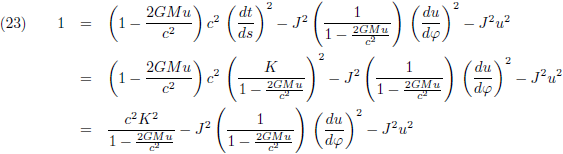
Dit resultaat vul ik in in vergelijking (13):
Ik knutsel nog even verder met de term dr/ds:
Ik stel:

Hiermee wordt vergelijking (18):
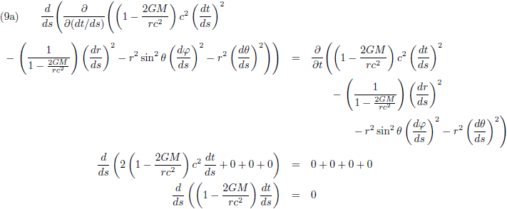
Vervolgens pak ik vergelijking (9a) en die ga ik aan beide zijden integreren naar s:
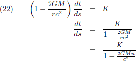
Waarin K een constante is. Dit ga ik iets anders opschrijven:
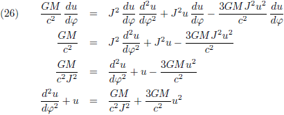
Dit resultaat vul ik in in vergelijking (20):
Ik doe vervolgens nog even een kleine reorganisatie:
En nu ga ik differentiëren naar φ:
Ik deel door du/dφ en ik reorganiseer vervolgens de termen:
Tenslotte stel ik:
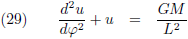
Waarmee (26) wordt:

Einstein

Zo hebben we dus een resultaat gevonden dat uiteindelijk is voortgekomen uit de algemene relativiteitstheorie van Einstein:


Newton

Ter vergelijking zet ik hier het Newtonse resultaat onder:

Vergelijking (28) is een differentiaalvergelijking die een geodetische lijn beschrijft rondom een centrale massa. Planeetbanen zijn bijvoorbeeld geodetische lijnen en zoals je ziet heeft het Einsteinse resultaat (vergelijking (28)) een extra term ten opzichte van het Newtonse resultaat (vergelijking (29)). Wat de invloed is van die extra term op planeetbanen wordt in de volgende vraagstukken duidelijk.

Vanaf vergelijking (24) had ik ook een andere route kunnen kiezen:
Op deze manier heb ik het probleem beschreven als integraal. Aldus heb ik de geodetische lijn rondom een centrale massa op twee manieren beschreven, als differentiaalvergelijking en als integraal: