Klassieke afleiding van de formule van Heaviside
Ik begin met de wet van De Coulomb voor het elektrische veld van een lading Q (die feitelijk geldt ‘in rust’, of beter gezegd: voor een waarnemer die met de lading Q meebeweegt):



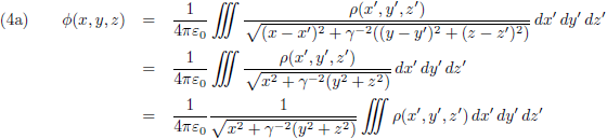
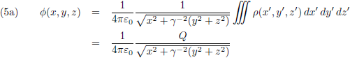
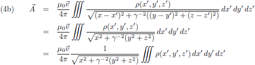
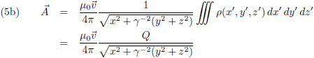
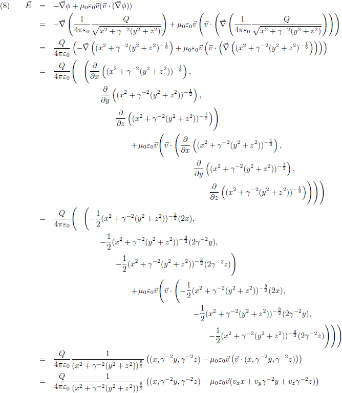
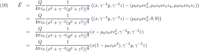
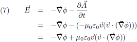
Deze potentialen ga ik invullen in vergelijking (2), maar voordat ik dat doe herinner ik mijzelf er aan dat de Lorentz-ijk gevolgen had voor de afgeleiden:
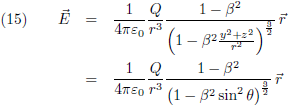
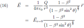
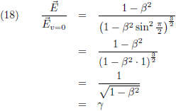
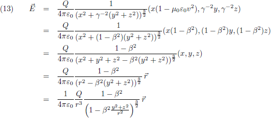
Vergelijking (17) is de gezochte formule van Heaviside. Ik maak hier even een plaatje van, horizontaal is θ uitgezet (van 0 tot 180 graden) en ik laat β in stapjes van 0.001 oplopen tot 0.02 (= 6000 km/s!). Je ziet dat de functie dan amper afwijkt van één.
Merk ook op dat ik deze afleiding, om tot de formule van Heaviside te komen, gedaan heb zonder ook maar iets te zeggen over inertiaalstelsels of de ether of wat voor relativistische principes dan ook. Dat Moeder Natuur zoiets als het fenomeen invariantie bedacht had was anderhalve eeuw geleden nog ondenkbaar en daar heb ik dan ook niet aan gerefereerd. Het woord “lichtsnelheid” is niet gevallen, noch heb ik het symbool “c” gebruikt. Ik heb ook geen golfvergelijkingen gebruikt, laat staan opgelost (waar dan de lichtsnelheid uit naar voren was gekomen). Ik heb alleen de wetten van Maxwell gebruikt, elektromagnetische potentialen in het leven geroepen en verder alleen maar wiskunde bedreven. Dat was immers ook het enige gereedschap dat Heaviside destijds (in de jaren tachtig van de negentiende eeuw) tot zijn beschikking had.
Heaviside kwam met zijn formule ruim twintig jaar voordat Einstein zijn speciale relativiteitstheorie publiceerde, oftewel Heaviside had nog helemaal geen beschikking over relativistische vergelijkingen en werkte met alleen maar klassieke elektromagnetische wetten (de wetten van Maxwell) naar zijn formule toe. Een opmerkelijk resultaat! De formule van Heaviside is ook af te leiden vanuit de speciale relativiteitstheorie en dan weer te beginnen bij de wet van De Coulomb en vervolgens alle relativistische transformatievergelijkingen (die de invariantie van de lichtsnelheid als uitgangspunt hebben) in te zetten. Hoe dat precies in zijn werk gaat vind je op deze pagina.





Door naar het volgende vraagstuk: 1 gram elektronen in een kistje
Terug naar het vorige vraagstuk: oplossing voor de elektromagnetische potentialen
Overzichtspagina met vraagstukken
Overzichtspagina elektriciteit en magnetisme
Integreren
Differentiëren
Goniometrie in het platte vlak
Wat is een vector?
Relativistische afleiding van de formule van Heaviside
De potentialen van het elektromagnetische veld
Een geodetische lijn rondom een puntmassa
De illusie van zekerheid
Volgen, achtervolgen, vervolgen en de gevolgen
De integraal van
De integraal van
De integraal van
De integraal van
De integraal van
De integralen van
De integralen van
Vectoren, vraagstuk 41
Vectoren, vraagstuk 86
Taylor-reeksen
De integraal van
De Witte Dag
De integraal van
De cycloïde
De minimale straal van een holle bol
Een planeettijdreismachine
De integralen van
Gravitationele rood-/blauwverschuiving
Getijdenkrachten
Zijn wij vroeg of laat?
Overzichtspagina wiskunde
Overzichtspagina natuurkunde
Overzichtspagina filosofie
Doneer enkele euro’s
Wetenschappelijke boeken te koop
Lezingen