Oplossing voor de elektromagnetische potentialen

Vind een algemene oplossing voor de elektromagnetische potentialen.
Op deze pagina heb ik de elektromagnetische potentialen reeds afgeleid:


D’Alembert

Wat natuurlijk opvalt is de sterke gelijkenis tussen beide vergelijkingen, het is in beide gevallen een kwestie van d’Alembertiaan loslaten op de potentiaal en het resultaat moet vervolgens gelijk zijn aan datgene wat er aan de andere kant van het =-teken staat. Stel nou dat de magnetische potentiaalvector A gelijk zou zijn aan de elektrische scalarpotentiaal maal een onbekende vector (en om redenen die weldra duidelijk zullen worden zet ik er een paar constanten voor):


Lorentz

Daar is op zich niets op tegen wanneer de afgeleiden van die onbekende vector maar allemaal nul zijn, want anders doorkruis ik de randvoorwaarden van A (in de eerste plaats natuurlijk de Lorentz-ijk die mij de vergelijkingen (1) gebracht hebben):




Met deze voorwaarden in mijn achterhoofd kan ik dan vergelijking (1b) als volgt schrijven:
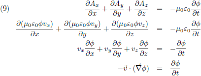
En nu kan ik vergelijking (1a) hierin substitueren:
Ik doe even een dimensiecheck:
Kortom, die nieuwe vector is een snelheid en wanneer die snelheid maar constant is dan zijn alle afgeleiden nul en voldoe ik aan de vergelijkingen (3) en is er geen vuiltje aan de lucht. Dat is wel een grote versimpeling, want wanneer ik vergelijking (1a) opgelost heb dan heb ik daarmee ook gelijk vergelijking (1b) opgelost (onder de aanname van constante snelheid, want indien er versnelling in het spel is dan valt mijn hele plan hier ter plekke in duigen). Het is ook wel logisch dat die nieuwe vector een snelheid is, want j is een stroomdichtheid en stroom is bewegende lading (stroom is lading maal snelheid). In de noemer staat de ladingsdichtheid en die kan dus uitgedeeld worden waardoor er snelheid overblijft. En over logica gesproken, wat is er logischer om die onbekende vector dan maar gelijk de aanduiding v te geven:
En over welke snelheid hebben we het dan precies? Over de snelheid van de elektrische lading.
In het bovenstaande plaatje bevindt de waarnemer zich in het punt P terwijl de lading (de blauwe wolk) met een constante snelheid v voorbij komt. De elektromagnetische potentialen ter plekke van het punt P zijn dan φ en A (met als onderlinge relatie vergelijking (7)). Klimt de waarnemer aan boord van de blauwe wolk, of beweegt hij mee met de lading, dan is v = 0 en A eveneens.

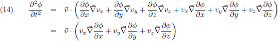
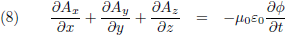
Toch is er nog een geniepig detail waar ik rekening mee dien te houden en dat komt voort uit de Lorentz-ijk. Die ijk schrijft namelijk voor:
Hier ga ik vergelijking (7) in invullen:
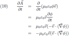
En vervolgens bepaal ik de afgeleide naar de tijd van de magnetische potentiaal waarbij ik direct gebruik maak van het voorgaande resultaat:
Let op dat minteken! Ik heb de magnetische potentiaal en de elektrische potentiaal doodleuk aan elkaar gekoppeld middels een vector (zie vergelijking (7)) en daar is ook helemaal niets op tegen, maar door de Lorentz-ijk sluipt er een minteken in de afgeleiden. Die moet ik goed in de gaten houden.

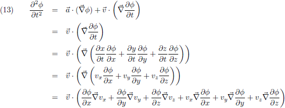
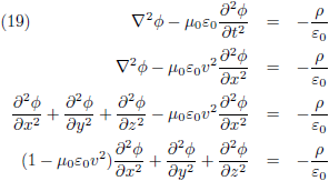
Goed, dan ga ik mij nu op vergelijking (1a) richten. Om te beginnen ga ik de d’Alembertiaan voluit opschrijven:
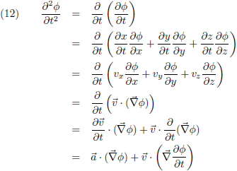
Ik neem die tweede afgeleide naar de tijd even apart en daar ga ik mee knutselen:
De versnelling a is nul en die term gaat er dus uit en met de rest knutsel ik verder:
De snelheid is constant, niet alleen in de tijd gezien maar ook qua positie (de snelheid hier is niet anders dan de snelheid daar). Daarom zijn alle afgeleiden van de snelheid gelijk aan nul en vallen die termen er ook uit. Sowieso was een constante snelheid een hoeksteen van deze pagina, zie de vergelijkingen (3). Vergelijking (13) reduceert hierdoor tot:
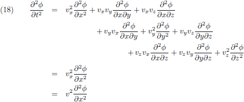
En ik knutsel weer verder:
Dit ziet er niet best uit! Is er nog iets dat ik kan inzetten om tot een oplossing te geraken, heb ik nog ergens een vrijheidsgraad? Ik heb de elektromagnetische potentialen afgeleid en daarbij legde ik een randvoorwaarde op aan de afgeleide naar de tijd van de magnetische potentiaalvector:

Om de vergelijkingen (1) af te leiden zette ik de Lorentz-ijk in:
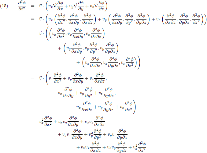
Daarnaast heb ik aan het begin van deze pagina de elektromagnetische potentialen aan elkaar gekoppeld door te stellen dat de elektrische lading alleen met constante snelheid mag bewegen. Het enige waar ik nu nog bewegingsvrijheid mee heb is mijn coördinatenstelsel en dat stelsel ga ik zo roteren dat de snelheid v altijd langs de x-as gericht is. Met andere woorden, de y-component en de z-component van de snelheid zijn altijd nul:
Dit zorgt voor een grote opruiming in vergelijking (15):
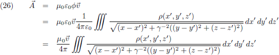
Nu kan ik eindelijk verder met vergelijking (11):
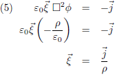
Ik ga vervolgens de x-as en heel klein beetje gelijkmatig uitrekken waardoor er een nieuwe x ontstaat:
Voor het gemak stel ik:
Dit vul ik in in vergelijking (19):
Met de belangrijke kanttekening dat ik onderweg de x-coördinaat verbouwd heb kan ik dan ook schrijven:

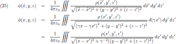
Poisson

Dit is de wet van Poisson, daarvoor heb ik een kant-en-klare oplossing op de plank liggen:

Nu wil ik natuurlijk terug naar de x die ik had:
En volgens vergelijking (7) heb ik nu ook gelijk de oplossing voor A:
Aldus heb ik het resultaat van dit vraagstuk, een algemene oplossing voor de elektromagnetische potentialen (met de randvoorwaarden dat de lading met een constante snelheid beweegt en dat die snelheid alleen een x-component heeft):