De integralen van
f (x) = cotn (ax)
Trefwoorden/keywords: integraal/integral, integreren/integrate, f (x) = cotn (ax)

De grafiek van f (x) = cotn (ax) voor n = −1 (de rode lijn),
n = −2 (de oranje lijn), n = −3 (de groene lijn),
n = −4 (de paarse lijn), n = −5 (de blauwe lijn)
en n = −6 (de grijze lijn), a = 1

De grafiek van f (x) = cotn (ax) voor n = 1 (de rode lijn),
n = 2 (de oranje lijn), n = 3 (de groene lijn),
n = 4 (de paarse lijn), n = 5 (de blauwe lijn)
en n = 6 (de grijze lijn), a = 1
























































































































Naar de volgende tabel: de integralen van
Naar de vorige tabel: de integralen van
Tabel met integralen
Differentiëren
Integreren
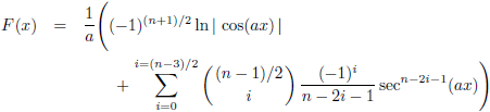
De integraal van
De integraal van
De integraal van
De integraal van
De integraal van
De integralen van
De integralen van
Combinaties en manipulaties met nabla
Vectoren, vraagstuk 44
Vectoren, vraagstuk 89
Taylor-reeksen
De Taylor-reeks van
De convergentie van een reeks
Matrices
Holomorfie van de functie
Integreren van complexe functies
Uitleg artikel algemene relativiteitstheorie: paragraaf 16
Een geodetische lijn rondom een puntmassa
Voorbeelden van E = mc2
Gravitationele rood-/blauwverschuiving
Getijdenkrachten
Zijn wij vroeg of laat?
De Einstein-Rosen-brug
De invaltijd van een baksteen die in een zwart gat valt
De buitenkant van een wormgat
De integraal van
De astroïde
Het waarneembare universum
Wat is een wormgat?
Overzichtspagina wiskunde
Overzichtspagina natuurkunde
Overzichtspagina filosofie
Doneer enkele euro’s
Wetenschappelijke boeken te koop
Lezingen