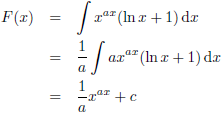
De integraal van
f (x) = xax (ln x + 1)
Trefwoorden/keywords: integraal/integral, integreren/integrate, f (x) = xx (ln x + 1)

De grafiek van f (x) = xax (ln x + 1) voor a = 0.5 (de rode lijn),
a = 1 (de groene lijn) en a = 2 (de blauwe lijn)

De grafiek van F (x) voor a = 0.5 (de rode lijn),
a = 1 (de groene lijn) en a = 2 (de blauwe lijn), c = 0
Naar de volgende integraal: de integraal van
Naar de vorige integraal: de integraal van
Tabel met integralen
Tabel met afgeleiden
Tabel met Taylor-reeksen
Differentiëren
Integreren
De integraal van
De integraal van
De integraal van
De integraal van
De integraal van
De integralen van
De integralen van
Vectoren, vraagstuk 7
Vectoren, vraagstuk 52
Invariantie van het inwendig product
De Taylor-reeks van
Een reeks afsplitsen van
De faculteitsfunctie
Holomorfie van de functie
Integreren van complexe functies
Uitleg artikel algemene relativiteitstheorie: paragraaf 16
De integraal van
De Witte Dag
De integraal van
De cycloïde
De minimale straal van een holle bol
Een planeettijdreismachine
De integralen van
Gravitationele rood-/blauwverschuiving
Getijdenkrachten
Zijn wij vroeg of laat?
Overzichtspagina wiskunde
Overzichtspagina natuurkunde
Overzichtspagina filosofie
Doneer enkele euro’s
Wetenschappelijke boeken te koop
Lezingen