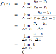
De afgeleide van
f (x) = c
Trefwoorden/keywords: afgeleide/derivative, differentiëren/differentiation, f (x) = c

De grafiek van f (x) = c voor c = 1 (de rode lijn),
c = 2 (de groene lijn) en c = 3 (de blauwe lijn)

De grafiek van f' (x)
Naar de volgende afgeleide: de afgeleide van
Naar de vorige afgeleide: de afgeleide van
Tabel met afgeleiden
Tabel met integralen
Tabel met Taylor-reeksen
Differentiëren
De integraal van
De integraal van
De integraal van
De integraal van
De integralen van
De integralen van
Vectoren, vraagstuk 7
Vectoren, vraagstuk 52
Invariantie van het inwendig product
De Taylor-reeks van
Een reeks afsplitsen van
Faculteiten
Holomorfie van de functie
Relativiteitstheorie basic, hoofdstuk 2: de lichtsnelheid
Fouten in het oorspronkelijke artikel over de algemene relativiteitstheorie
De relativistische rotatie-energie van een massieve bol
Een botsing met een zandkorrel
Gravitationele rood-/blauwverschuiving
Getijdenkrachten
Zijn wij vroeg of laat?
De Einstein-Rosen-brug
De invaltijd van een baksteen die in een zwart gat valt
De buitenkant van een wormgat
De integraal van
De astroïde
Het waarneembare universum
Wat is een wormgat?
Overzichtspagina wiskunde
Overzichtspagina natuurkunde
Overzichtspagina filosofie
Doneer enkele euro’s
Wetenschappelijke boeken te koop
Lezingen