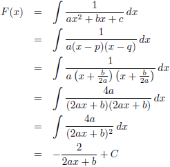
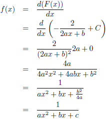
De integraal van
f (x) = 1/(ax2 + bx + c)
Trefwoorden/keywords: integraal/integral, integreren/integrate, f (x) = 1/(ax2 + bx + c)

De grafiek van f (x) = 1/(ax2 + bx + c) voor a = 1, b = 2, c = 1 (de rode lijn),
a = 2, b = 4, c = 2 (de groene lijn) en a = 3, b = 6, c = 3 (de blauwe lijn)



De grafiek van F (x) voor a = 1, b = 2, c = 1 (de rode lijn),
a = 2, b = 4, c = 2 (de groene lijn) en a = 3, b = 6, c = 3 (de blauwe lijn), C = 0
Naar de volgende integraal: de integraal van
Naar de vorige integraal: de integraal van
Tabel met integralen
Tabel met afgeleiden
Tabel met Taylor-reeksen
Differentiëren
Integreren
De integralen van
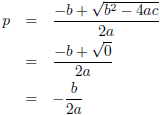
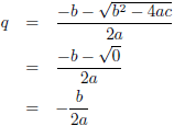
Tweedegraads vergelijking oplossen
Uitleg artikel algemene relativiteitstheorie: paragraaf 2
De illusie dat ik fout bezig ben
De integraal van
De integraal van
De integraal van
De integraal van
De integralen van
De integralen van
Combinaties en manipulaties met nabla
Vectoren, vraagstuk 44
Vectoren, vraagstuk 89
De Taylor-reeks van
De convergentie van een reeks
Matrices
De integraal van
De Witte Dag
De integraal van
De cycloïde
De minimale straal van een holle bol
Een planeettijdreismachine
De integralen van
Gravitationele rood-/blauwverschuiving
Getijdenkrachten
Zijn wij vroeg of laat?
Overzichtspagina wiskunde
Overzichtspagina natuurkunde
Overzichtspagina filosofie
Doneer enkele euro’s
Wetenschappelijke boeken te koop
Lezingen