De integraal van
f (x) = xp/(ex − 1)
Trefwoorden/keywords: integraal/integral, integreren/integrate, f (x) = xp/(ex − 1)

De grafiek van f (x) = xp/(ex − 1) voor p = 1 (de rode lijn),
p = 2 (de groene lijn) en p = 3 (de blauwe lijn)

De grafiek van F (x) voor p = 1 (de rode lijn),
p = 2 (de groene lijn) en p = 3 (de blauwe lijn), c = 0,
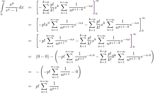
1000 termen meegenomen,
de reeks convergeert voor x > 0
Lang geleden heeft Bernhard Riemann zich al uitgebreid verdiept in dit soort convergerende reeksen en daarom kennen we sindsdien de Riemann-zetafunctie oftewel de zetafunctie:

Naar de volgende integraal: de integraal van
Naar de vorige integraal: de integraal van
Tabel met integralen
Tabel met afgeleiden
Tabel met Taylor-reeksen
Differentiëren
Integreren
De integraal van
De integraal van
De integraal van
De integraal van
De integraal van
De integralen van
De integralen van
Vectoren, vraagstuk 21
Vectoren, vraagstuk 66
Vraagstukken xref voor de UT
De Taylor-reeks van
De Taylor-reeks van
Wiskunderaadsels
Catalan-getallen
Holomorfie van de functie
Relativiteitstheorie basic, hoofdstuk 8: nabeschouwingen
Vraagstukken relativiteitstheorie
De integraal van
De Witte Dag
De integraal van
De cycloïde
De minimale straal van een holle bol
Een planeettijdreismachine
De integralen van
Gravitationele rood-/blauwverschuiving
Getijdenkrachten
Zijn wij vroeg of laat?
Overzichtspagina wiskunde
Overzichtspagina natuurkunde
Overzichtspagina filosofie
Doneer enkele euro’s
Wetenschappelijke boeken te koop
Lezingen