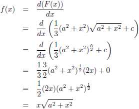
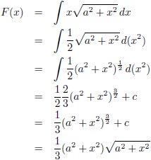
De integraal van
f (x) = x (a2 + x2)1/2
Trefwoorden/keywords: integraal/integral, integreren/integrate, f (x) = x (a2 + x2)1/2

De grafiek van f (x) = x (a2 + x2)1/2 voor a = 1 (de rode lijn),
a = 2 (de groene lijn) en a = 3 (de blauwe lijn)


De grafiek van F (x) voor a = 1 (de rode lijn),
a = 2 (de groene lijn) en a = 3 (de blauwe lijn), c = 0
Naar de volgende integraal: de integraal van
Naar de vorige integraal: de integraal van
Tabel met integralen
Tabel met afgeleiden
Tabel met Taylor-reeksen
Differentiëren
Integreren
De integralen van
Relativistische periheliumprecessie, 1e orde benadering
Beperkingen
De integraal van
De integraal van
De integraal van
De contourintegraal van
De integralen van
De integralen van
Vectoren, vraagstuk 24
Vectoren, vraagstuk 69
Uitschrijven van de sommatieconventie
De Taylor-reeks van
Tabellen met Taylor-reeksen
Lijnen trekken door negen punten
De gammafunctie
Holomorfie van de functie
Gravitationele rood-/blauwverschuiving
Getijdenkrachten
Zijn wij vroeg of laat?
De Einstein-Rosen-brug
De invaltijd van een baksteen die in een zwart gat valt
De buitenkant van een wormgat
De integraal van
De astroïde
Het waarneembare universum
Wat is een wormgat?
Overzichtspagina wiskunde
Overzichtspagina natuurkunde
Overzichtspagina filosofie
Doneer enkele euro’s
Wetenschappelijke boeken te koop
Lezingen