De integraal van
f (x) = sin x/(1 − a2 sin2 x)1/2
Trefwoorden/keywords: integraal/integral, integreren/integrate, f (x) = sin x/(1 − a2 sin2 x)1/2

De grafiek van f (x) = sin x/(1 − a
2 sin
2 x)
1/2 voor a
2 = 0.1 (de rode lijn),
a
2 = 0.5 (de groene lijn) en a
2 = 0.9 (de blauwe lijn)
Deze
integraal vereist een paar trucs.
Om te beginnen ga ik die
sinus
in de noemer omzetten naar een
cosinus:
Ik stel:
Zodat de
integraal deze vorm krijgt:
Ik stel:
Zodat ik de
integraal in deze vorm kan schrijven:
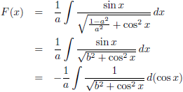
De oplossing van de
integraal
van 1/(a
2 + x
2)
1/2 kun je elders vinden in de
tabel met integralen.
Dat brengt ons bij dit tussenresultaat:
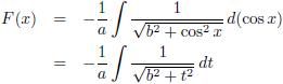
Nu moet t uiteraard weer vervangen worden door x:
En b moet uiteraard weer vervangen worden door a:
Tot slot wil ik nog opmerken dat je de
area sinus hyperbolicus
kunt
omschrijven naar een
natuurlijke logaritme,
en vice versa, als volgt:
De oplossing van deze
integraal
kan ik daarom ook als volgt opschrijven:
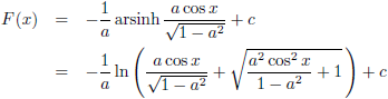
En dit kan ik ook opschrijven als volgt:
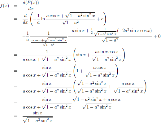
Ter controle ga ik het resultaat
differentiëren:

De grafiek van F (x) voor a
2 = 0.1 (de rode lijn),
a
2 = 0.5 (de groene lijn) en a
2 = 0.9 (de blauwe lijn), c = 0