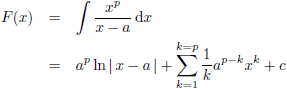
De integraal van
f (x) = xp/(x − a)
Trefwoorden/keywords: integraal/integral, integreren/integrate, f (x) = xp/(x − a)

De grafiek van f (x) = xp/(x − a) voor p = 0 (de rode lijn),
p = 1 (de oranje lijn), p = 2 (de groene lijn),
p = 3 (de paarse lijn), p = 4 (de blauwe lijn),
p = 5 (de grijze lijn), a = 1
Integrand![]() |
Primitieve | |
![]() ![]() |
![]() ![]() |
Toon uitwerking |
![]() ![]() |
![]() ![]() |
Toon uitwerking |
![]() ![]() |
![]() ![]() |
Toon uitwerking |
![]() ![]() |
![]() ![]() |
Toon uitwerking |

De grafiek van F (x) voor p = 0 (de rode lijn),
p = 1 (de oranje lijn), p = 2 (de groene lijn),
p = 3 (de paarse lijn), p = 4 (de blauwe lijn),
p = 5 (de grijze lijn), a = 1, c = 0

















Naar de volgende integraal: de integraal van
Tabel met integralen
Tabel met afgeleiden
Tabel met Taylor-reeksen
Differentiëren
Integreren
De integraal van
De integraal van
De integraal van
De integraal van
De integralen van
Vectoren
Vectoren, vraagstuk 36
Vectoren, vraagstuk 81
Hoe vormt zich de Ricci-scalar?
De Taylor-reeks van
De Taylor-reeksen van
De stelling van Green
Differentiëren van complexe functies
Holomorfie van de functie
Uitleg artikel algemene relativiteitstheorie: paragraaf 1
Minkowski-diagrammen
Wat maakt een zwart gat tot een zwart gat?
De integraal van
De Witte Dag
De integraal van
De cycloïde
De minimale straal van een holle bol
Een planeettijdreismachine
De integralen van
Gravitationele rood-/blauwverschuiving
Getijdenkrachten
Zijn wij vroeg of laat?
Overzichtspagina wiskunde
Overzichtspagina natuurkunde
Overzichtspagina filosofie
Doneer enkele euro’s
Wetenschappelijke boeken te koop
Lezingen