De integraal van
f (x) = (ax2 + bx + c)1/2
Trefwoorden/keywords: integraal/integral, integreren/integrate, f (x) = (ax2 + bx + c)1/2

De grafiek van f (x) = (ax
2 + bx + c)
1/2 voor a = −1, b = 3, c = 1 (de rode lijn),
a = −2, b = 6, c = 2 (de groene lijn) en a = −3, b = 9, c = 3 (de blauwe lijn)
Bij het
integreren
van deze functie dienen we de
kettingregel
van het
differentiëren
voor ogen te hebben:
De
discriminant
is groter dan nul en er zijn daarom twee nulpunten p en q die we nu eerst berekenen met de
abc-formule:
Hiermee wordt de
integraal:
Ik stel:
De
integraal
wordt dan:
De oplossing van de
integraal
van (a
2 − x
2)
1/2 kun je elders vinden in de
tabel met integralen.
Dat brengt ons bij dit tussenresultaat:
Nu moet u uiteraard weer vervangen worden door x:
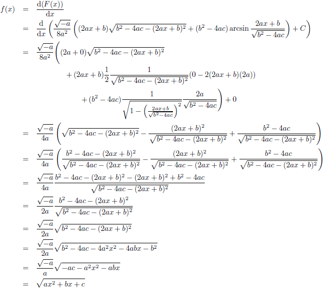
Ter controle ga ik het resultaat
differentiëren:
Is hiermee dan het verhaal klaar?
Nee, want ik heb onderweg gemaskeerd dat a < 0.
Hierboven ontstaat bij het
differentiëren
een term met 2a die ik vervolgens
kwadrateer
en onder de
wortel
laat ‘verdwijnen’.
Daarom moet ik nog een minteken toevoegen aan het antwoord:

De grafiek van F (x) voor a = −1, b = 3, c = 1 (de rode lijn),
a = −2, b = 6, c = 2 (de groene lijn) en a = −3, b = 9, c = 3 (de blauwe lijn), C = 0