DONEER
WETENSCHAPPELIJKE BOEKEN
LEZINGEN
Home
Nieuw
De integraal van
f (x) = (1 − cos (ax))
1/2
De Witte Dag
De integraal van
f (x) = arccos (ax + b)
De cycloïde
De minimale straal van een holle bol
Een planeettijdreismachine
De integralen van
f (x) = (ax
2
+ bx + c)
1/2
Gravitationele rood-/blauwverschuiving
Getijdenkrachten
Zijn wij vroeg of laat?
De Einstein-Rosen-brug
De invaltijd van een baksteen die in een zwart gat valt
De buitenkant van een wormgat
De integraal van
f (x) = (1 − (x/a)
2/3
)
3/2
De astroïde
Het waarneembare universum
Wat is een wormgat?
Het traagheidsmoment van twee hemellichamen
De tweelingparadox
De energie van zwaartekrachtgolven
Een dag zonder verjaardagen
Het vermogen van zwaartekrachtgolven
Tijdsvertraging van een lichtstraal (2
e
orde benadering)
Tijdsvertraging van een lichtstraal (1
e
orde benadering)
Afbuiging van een lichtstraal volgens Einstein
De integralen van
f (x) = x
n
/(a
2
+ x
2
)
5/2
Een andere manier van leven
Een reeks afsplitsen van een functie
Afbuiging van een lichtstraal (2
e
orde benadering)
Afbuiging van een lichtstraal (1
e
orde benadering)
Bewerkingen met reeksen
De Taylor-reeksen van
f (x) = x/(a ± x)
2
De integralen van
f (x) = 1/((x + a)
n
(x
2
− a
2
))
1/2
)
De integralen van
f (x) = cos
m
(ax)/(1 + cos (ax))
n
De integralen van
f (x) = (x
2
/(a
2
− x
2
))
n
De massa van de atmosfeer
Hyper-Catalan-getallen
Een ontmoeting met aliens
Ze durven niet
Fuss-getallen
Ze mogen niet
Catalan-getallen
De Taylor-reeks van
f (x) = ln x
De integraal van
f (x) = cot
n
(ax) (n = even)
De integraal van
f (x) = tan
n
(ax) (n = even)
De integraal van
f (x) = cot
n
(ax) (n = oneven)
De integraal van
f (x) = tan
n
(ax) (n = oneven)
Ze willen niet
De geodetische lijn van een lichtstraal bij een massa
De integralen van
f (x) = x
n
/(x − a)
De integraal van
f (x) = 1/ln (ax)
De integraal van
f (x) = cot
9
(ax)
De integraal van
f (x) = cot
7
(ax)
De integraal van
f (x) = cot
5
(ax)
Een botsing met een zandkorrel
De opwarming van de Aarde
Ze kunnen niet
De integraal van
f (x) = cot
10
(ax)
De integraal van
f (x) = cot
8
(ax)
De integraal van
f (x) = cot
6
(ax)
De integraal van
f (x) = cot
4
(ax)
De integraal van
f (x) = e
iax
exp (ib e
cx
)
De gammafunctie
De integraal van
f (x) = x
b
/(a
2
+ x)
De integraal van
f (x) = e
iax
exp (ib e
cx
)
De integraal van
f (x) = x
b
/(a
2
+ x
2
)
De contourintegraal van
f (x) = x
b
/(a
2
+ x
2
)
Holomorfie van de functie f (z) = z
p
Het grote filter
De integraal van
f (x) = tan
9
(ax)
De integraal van
f (x) = tan
7
(ax)
De integraal van
f (x) = tan
5
(ax)
Het getal e met een miljoen decimalen
De complete complementaire elliptische integraal van de derde soort
De complete complementaire elliptische integraal van de tweede soort
De complete complementaire elliptische integraal van de eerste soort
De complementaire elliptische integraal van de derde soort (vereenvoudigde vorm)
De contourintegraal van
f (x) = 1/(a
2
+ x
2
)
2
De integraal van
f (x) = 1/(a
2
+ x
2
)
2
De contourintegraal van
f (x) = 1/((a
2
+ x
2
) (b
2
+ x
2
))
De integraal van
f (x) = 1/((a
2
+ x
2
) (b
2
+ x
2
))
De contourintegraal van
f (x) = 1/(1 + a cos
2
x)
De integraal van
f (x) = 1/(1 + a cos
2
x)
De contourintegraal van
f (x) = 1/(1 + a sin
2
x)
De integraal van
f (x) = 1/(1 + a sin
2
x)
De contourintegraal van
f (x) = 1/(a
2
+ x
2
)
De integraal van
f (x) = 1/(a
2
+ x
2
)
Contourintegralen
Integreren van complexe functies
Het spectrum van een zwart gat
De convergentie van een reeks
De Taylor-reeks van
f (x) = arctan (ax)
Vergelijkingstabel gewone integralen versus contourintegralen
De contourintegraal van
f (x) = sin (ax)/x
De integraal van
f (x) = sin (ax)/x
Holomorfie van de functie f (z) = f (at)
De contourintegraal van
f (x) = 1/(ax
2
+ bx + c)
De integraal van
f (x) = 1/(ax
2
+ bx + c)
Priemgetallen
De nulpunten van f (x) = a
x
− x
a
De Taylor-reeksen van
f (x) = b
±ax
Wiskunde
Tabel met afgeleiden
Tabel met integralen
Tabel met Taylor-reeksen
Differentiëren
Integreren
Integratiemethoden
Wiskunde algemeen
Machtsverheffen, worteltrekken, logaritme neming
Tweedegraads vergelijking oplossen
Derdegraads vergelijking oplossen
Goniometrie
Hyperbolische functies
Vergelijkingstabel goniometrische - en hyperbolische functies
Vectoren
Vraagstukken over vectoren
Vraagstukken over tensoren
De stelling van Gauss
De stelling van Green
De stelling van Stokes
De Euler-Lagrange-vergelijking
Differentiaal geometrie
Fourier-analyse
Complexe getallen
Matrices
Involuties
De faculteitsfunctie
De gammafunctie
Bijzondere figuren
Boekhouden
Raadsels
Getallen
Boeken over wiskunde te koop
Natuurkunde
Relativiteitstheorie
Astronomie
Kwantummechanica
Elektriciteit en magnetisme
Algemene natuurkunde
Boeken over natuurkunde te koop
Filosofie
De grote vragen in het leven
De illusies die wij leven
Reizigers naar de werkelijkheid
Vertellingen
Gedichten over Liefde
Wij en buitenaards leven
Diversen
Sitemap
Recent toegevoegde pagina’s
Kalender van de jaren 0001 − 3000 met weekdagen
Index: personen
Index: trefwoorden
Notatie en terminologie
LaTeX
Python code
Excel bestanden
Fysische gegevens
Woordenboek: Nederlands - Engels
Woordenboek: Engels - Nederlands
Cookiebeleid
Natuurkundeclub β’24
Natuurkundeclub β’24 (openbare pagina)
Natuurkundeclub β’24 (besloten pagina)
Alleen voor leden
Natuurkundeclub β’24
Natuurkundeclub
G
ℏ
c
Biodanza
Resumé Watchers
Stamboom
Contact
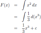
De integraal van
f (x) = x
2
Trefwoorden/keywords: integraal/integral, integreren/integrate, f (x) = x
2
De grafiek van f (x) = x
2
De
tabel met afgeleiden
leidt ons rechtstreeks naar de oplossing van deze
integraal
:
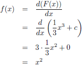
Ter controle ga ik het resultaat
differentiëren
:
De grafiek van F (x), c = 0
Naar de volgende integraal: de integraal van
f (x) = x
3
Naar de vorige integraal: de integraal van
f (x) = x
Tabel met integralen
Tabel met afgeleiden
Tabel met Taylor-reeksen
Differentiëren
Integreren
De integralen van
f (x) = x
n
De afgeleide van
f (x) = x
n
Relativiteitstheorie rekenkundig
Wat geeft jouw leven betekenis?
De integraal van
f (x) = x
5
e
ax
De integraal van
f (x) = 1/(x (−a
2
+ x
2
)
1/2
)
De integraal van
f (x) = 1/x
2
ln (ax)
De integraal van
f (x) = x
10
e
−ax
2
De integraal van
f (x) = x/(x − a)
De integralen van
f (x) = x
n
De integralen van
f (x) = 1/(ax
2
+ bx + c)
1/2
Vectoren
Vectoren, vraagstuk 38
Vectoren, vraagstuk 83
Taylor-reeksen
De Taylor-reeks van
f (x) = e
x
De Taylor-reeksen van
elliptische functies
De integraal van
f (x) = (1 − cos (ax))
1/2
De Witte Dag
De integraal van
f (x) = arccos (ax + b)
De cycloïde
De minimale straal van een holle bol
Een planeettijdreismachine
De integralen van
f (x) = (ax
2
+ bx + c)
1/2
Gravitationele rood-/blauwverschuiving
Getijdenkrachten
Zijn wij vroeg of laat?
Overzichtspagina wiskunde
Overzichtspagina natuurkunde
Overzichtspagina filosofie
Doneer enkele euro’s
Wetenschappelijke boeken te koop
Lezingen
Alle rechten voorbehouden / All rights reserved © Karel de Vlieger 2010 − 2026