De integraal van
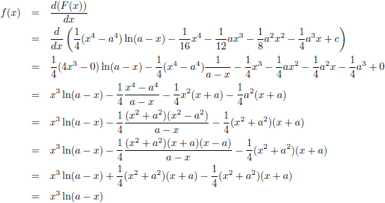
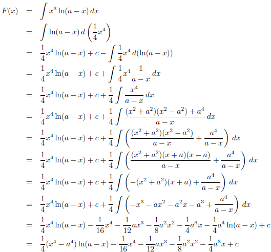
f (x) = x3 ln (a − x)
Trefwoorden/keywords: integraal/integral, integreren/integrate, f (x) = x3 ln (a − x)

De grafiek van f (x) = x3 ln (a − x) voor a = 1 (de rode lijn),
a = 2 (de groene lijn) en a = 3 (de blauwe lijn)

De grafiek van F (x) = voor a = 1 (de rode lijn),
a = 2 (de groene lijn) en a = 3 (de blauwe lijn), c = 0
Naar de volgende integraal: de integraal van
Naar de vorige integraal: de integraal van
Tabel met integralen
Tabel met afgeleiden
Tabel met Taylor-reeksen
Differentiëren
Integreren
De integraal van
De integraal van
De integraal van
De integraal van
De integraal van
De integralen van
De integralen van
Vectoren, vraagstuk 27
Vectoren, vraagstuk 72
De diagonale metrische tensor, covariant en contravariant
De Taylor-reeks van
De Taylor-reeksen van
Het probleem van de gevangenen
Definities en eigenschappen van complexe getallen
Holomorfie van de functie
Uitleg artikel algemene relativiteitstheorie: inleiding
Afleiding van E = mc2
Gravitationele rood-/blauwverschuiving
Getijdenkrachten
Zijn wij vroeg of laat?
De Einstein-Rosen-brug
De invaltijd van een baksteen die in een zwart gat valt
De buitenkant van een wormgat
De integraal van
De astroïde
Het waarneembare universum
Wat is een wormgat?
Overzichtspagina wiskunde
Overzichtspagina natuurkunde
Overzichtspagina filosofie
Doneer enkele euro’s
Wetenschappelijke boeken te koop
Lezingen