De integraal van
f (x) = (x2/(a2 − x2))2
Trefwoorden/keywords: integraal/integral, integreren/integrate, f (x) = (x2/(a2 − x2))2

De grafiek van f (x) = (x
2/(a
2 − x
2))
5 voor a = 1 (de rode lijn),
a = 2 (de groene lijn) en a = 3 (de blauwe lijn)
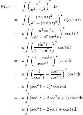
Voor het
integreren
ga ik gebruik maken van
goniometrische substitutie door sinus of cosinus:
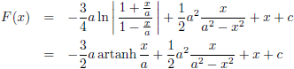
De
integraal wordt dan:
De oplossing van de
integraal
van sec
3 x kun je elders vinden in de
tabel met integralen,
de oplossing van de
integraal
van sec x kun je elders vinden in de
tabel met integralen
en de oplossing van de
integraal
van cos x kun je elders vinden in de
tabel met integralen.
Dat brengt ons bij dit tussenresultaat:
Nu moet t uiteraard weer vervangen worden door x:
De
area tangens hyperbolicus
kun je
omschrijven naar een
natuurlijke logaritme,
en vice versa, als volgt:
De oplossing van deze
integraal
kan ik daarom ook als volgt opschrijven:
Ter controle ga ik het resultaat
differentiëren:

De grafiek van F (x) voor a = 1 (de rode lijn),
a = 2 (de groene lijn) en a = 3 (de blauwe lijn)