Relativiteitstheorie rekenkundig, hoofdstuk 8: rekenvoorbeelden
Hoe pakken de relativistische effecten uit in onze dagelijkse werkelijkheid?
Dat is de vraag die we gaan beantwoorden in dit hoofdstuk.
Daarbij maak ik gebruik van de volgende twee formules die ik afgeleid heb in de achter ons liggende hoofdstukken.
De eerste geeft het relativistische effect als gevolg van snelheid en de tweede als gevolg van zwaartekracht:
In het geval dat de snelheid laag is (ten opzichte van de lichtsnelheid) of de zwaartekracht gering (zoals hier aan het oppervlak van de Aarde)
dan kunnen we gebruik maken van deze benaderingen:
We beginnen met een eenvoudig geval, er fietst iemand mij voorbij met een snelheid van 18 km/uur.
Een snelheid van 18 km/uur komt overeen met precies 5 m/s en dit is een lage snelheid (ten opzichte van de lichtsnelheid).
Daarom mogen we probleemloos gebruik maken van de benadering volgens (3):
Zoals je ziet levert dit pas een afwijking van één op bij de 16
e decimaal!
Dus ik zie de tijd bij de fietser met 1.39 ∙ 10
−16 seconde per seconde achterlopen en omgekeerd net zo.
Daar merk je in de praktijk helemaal niets van!
Een raket die naar de Maan vertrekt ontwikkelt een snelheid van (ongeveer) 11 km/s om aan de aardse zwaartekracht te ontsnappen.
Laten we eens het sommetje maken voor die raket:
Zelfs voor dit snelste transportmiddel dat de mensheid tot nu toe heeft ontwikkeld zijn de relativistische effecten volkomen verwaarloosbaar.
We zijn gewoon veel en veel te langzaam!
Muonen zijn deeltjes die (onder andere) ontstaan bij botsingen in de bovenste lagen van de aardatmosfeer.
Rekening houdend met de gemiddelde (korte) levensduur van de muonen kun je dan uitrekenen
hoeveel muonen het oppervlak van de Aarde gemiddeld zullen bereiken.
In de praktijk blijkt dit aantal significant hoger te liggen.
Hoe komt dat?
De snelheid van de muonen is ongeveer 0.995 c.
Daarmee kunnen we de factor γ
uitrekenen en nu moeten we wel gebruik maken van de exacte formule (1):
Dit betekent dat wij de tijd bij een muon ruim tienmaal zo langzaam zien gaan en dat voor de muon de aardatmosfeer ruim tienmaal dunner is.
Daardoor bereiken er veel meer muonen het aardoppervlak dan je in eerste instantie zou verwachten.
Dit is inmiddels via talloze metingen geverifieerd en bevestigd.
Tenslotte kijken we naar iets dat met de snelheid van het licht reist: een lichtstraal zelf.
We nemen weer de exacte formule (1):
Vanuit ons perspectief staat de tijd bij een lichtstraal helemaal stil!
En het hele universum is vanuit het perspectief van de lichtstraal gekrompen tot de afmetingen van een punt, de lichtstraal is altijd overal!
Wij zien een lichtstraal ruim acht minuten reizen om van de Zon naar de Aarde te komen, maar voor de lichtstraal is het een afstand van
nul meter die door de lichtstraal in nul seconden overbrugd wordt.
Dat je de Zon op je huid voelt branden is niet zomaar een kreet, de lichtstraal is
tegelijkertijd op de Zon én op je huid.
Je voelt werkelijk de Zon op je huid branden!
Nu richten we ons op de gevolgen van de zwaartekracht.
Hoe is dat hier aan het aardoppervlak?
We weten:
Het zwaartekrachtveld is zwak, dus we gebruiken de benadering (4):
De tijd hier aan het aardoppervlak loopt bijna een
miljardste
seconde per seconde langzamer dan ‘ergens ver weg’, waar de zwaartekracht nul is.
Hoe is dat voor een GPS-satelliet (GPS = Global Positioning System)?
GPS-satellieten draaien hun rondjes op een hoogte van 20200 kilometer boven het aardoppervlak.
Voor een dergelijke satelliet is de
factor γ:

Het Global Positioning System
Het asynchroon lopen van de klokken hier op Aarde en in de GPS-satellieten is het verschil van de bovenstaande twee uitkomsten,
dus ongeveer een halve
miljardste
seconde per seconde.
Na een minuut is het verschil al zestig maal zo groot, dus ongeveer dertig
miljardste
van een seconde.
In die tijd legt het licht echter een afstand af van bijna tien meter, en weet het kastje van het navigatiesyteem in je auto al niet meer
of je op de weg rijdt of ernaast.
Zonder allerhande korrekties zou het GPS-systeem binnen een uur volkomen waardeloos zijn!
De baansnelheid van de satellieten veroorzaakt ook tijddilatatie, volgens de speciale relativiteitstheorie, die ook nog in rekening
gebracht dient te worden waardoor de hele situatie iets ingewikkelder wordt, maar dat neemt niet weg dat gravitationele
tijddilatatie binnen korte tijd GPS onbruikbaar zou maken indien we daar niet voor zouden compenseren.
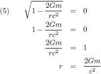
Tenslotte kijken we nog even waar de noemer van de
factor γ
nul wordt en γ zelf dus oneindig:
Ik vul de getallen in die we weten:
De r die bovenstaande vergelijking aangeeft is de
horizon
van een
zwart gat.
Indien de Aarde zou instorten tot een
zwart gat dan zou de
horizon daarvan op 8.87 mm van het centrum liggen en
voor de Zon komt de
horizon op 2.95 km van het centrum.
Wanneer wij zouden kunnen kijken naar een klok die zich op de
horizon van een
zwart gat bevindt dan staat die klok stil.
Let wel: vanuit ons bezien, want voor degene bij de klok blijft één seconde
altijd één seconde.