De integraal van
f (x) = 1/(1 + a sin x)
Trefwoorden/keywords: integraal/integral, integreren/integrate, f (x) = 1/(1 + a sin x)

De grafiek van f (x) = 1/(1 + a sin x) voor a = −0.4 (de rode lijn),
a = 0.2 (de groene lijn) en a = 0.8 (de blauwe lijn)
De
integraal
van deze functie gaat via een paar trucs en omwegen.
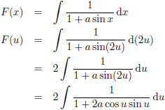
Om te beginnen stel ik:
Dan kan ik de
integraal schrijven als:
De
sinus en de
cosinus kan ik schrijven als een
functie van de tangens:
Nu ga ik een partij knutselen:
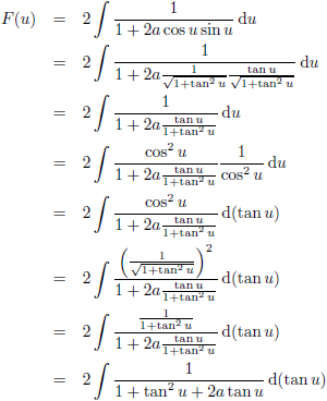
Ik ga nogmaals
over naar een andere variabele:
Hetgeen ons uiteindelijk brengt bij de
integraal:
De oplossing van de
integraal
van 1/(ax
2 + bx + c) kun je elders vinden in de
tabel met integralen.
De
integraal
wordt dan (waarbij we er even aan moeten denken dat de
discriminant negatief is):
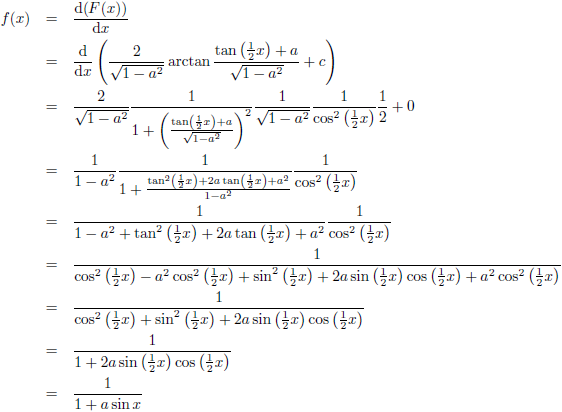
Nu moeten we uiteraard nog terugwerken naar de oorspronkelijke variabelen.
Eerst vervang ik v door u en daarna u door x:
Ter controle ga ik het resultaat
differentiëren:

De grafiek van F (x) voor a = −0.4 (de rode lijn),
a = 0.2 (de groene lijn) en a = 0.8 (de blauwe lijn), c = 0