Vectoren, vraagstuk 30
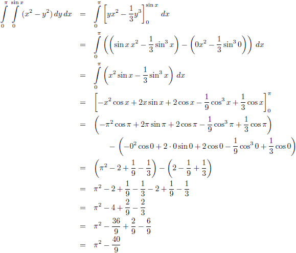
Bereken de volgende dubbele
integraal:
Hierin is G het gebied dat wordt ingesloten door de kromme y = sin x en het interval [0, π] op de x-as.

De grafiek van f (x, y) = x
2 − y
2
Ik heb een plaatje gemaakt van het integratiegebied.
Door eerst naar x te
integreren
zal er een
integratiegrens
ontstaan met iets als x = arcsin y.
Daar worden we niet blij van dus gaan we de integratievolgorde verwisselen.
Het
integratieprobleem wordt dan:
De oplossing van de
integraal
van x
2 sin x kun je vinden in de
tabel met integralen
en de oplossing van de
integraal
van sin
3 x kun je ook vinden in de
tabel met integralen.