Vectoren, vraagstuk 29
Verwissel de integratievolgorde:
-
Ik heb een plaatje gemaakt van het integratiegebied.
Voor de binnenste integraal geldt het volgende. Wanneer je vanaf de y-as ‘vertrekt’ op weg naar het integratiegebied dan kom je eerst de lijn x = y2 (linkergrens) tegen en vervolgens de lijn x = 2y (rechtergrens). Deze twee lijnen begrenzen het integratiegebied in horizontale richting. Door de x-as als vertrekpunt te nemen stuit je eerst op de lijn x = 2y, oftewel y = x/2 (ondergrens), en daarna op de lijn x = y2, oftewel y = √x (bovengrens). Deze twee lijnen begrenzen het integratiegebied in verticale richting.
Voor de buitenste integraal geldt het volgende. Het integratiegebied kent als uiterste grenzen y = 0 (ondergrens) en y = 2 (bovengrens), dit zijn twee horizontale rechte lijnen waartussen het integratiegebied ligt ingeklemd in verticale richting. Wanneer we de integratievolgorde omkeren dan moeten we de uiterste grenzen weten uitgedrukt in x. Door y = 0 (ondergrens) in te vullen in x = y2 en x = 2y volgt in beide gevallen dat x = 0 en dit wordt de nieuwe linkergrens. Door y = 2 (bovengrens) in te vullen in x = y2 en x = 2y volgt in beide gevallen dat x = 4 en dit wordt de nieuwe rechtergrens. Deze twee lijnen begrenzen het integratiegebied in horizontale richting.
Door de integratievolgorde te verwisselen ontstaat aldus:
-
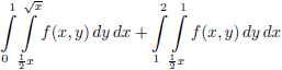
Ik heb een plaatje gemaakt van het integratiegebied.
Voor de binnenste integraal geldt het volgende. Wanneer je vanaf de y-as ‘vertrekt’ op weg naar het integratiegebied dan kom je eerst de lijn x = y2 (linkergrens) tegen en vervolgens de lijn x = 2y (rechtergrens). Deze twee lijnen begrenzen het integratiegebied in horizontale richting. Door de x-as als vertrekpunt te nemen stuit je eerst op de lijn x = 2y, oftewel y = x/2 (ondergrens), en daarna op de lijn x = y2, oftewel y = √x (bovengrens), of op de lijn y = 1 (bovengrens). De bovengrens van het integratiegebied wordt dus begrensd door twee verschillende lijnen. In totaal zijn er dus drie lijnen die het integratiegebied begrenzen in verticale richting. We ontkomen er dus niet aan om de integraal te splitsen in twee integralen.
Voor de buitenste integraal geldt het volgende. Het integratiegebied kent als uiterste grenzen y = 0 (ondergrens) en y = 1 (bovengrens), dit zijn twee horizontale rechte lijnen waartussen het integratiegebied ligt ingeklemd in verticale richting. Wanneer we de integratievolgorde omkeren dan moeten we de uiterste grenzen weten uitgedrukt in x. Door y = 0 (ondergrens) in te vullen in x = y2 en x = 2y volgt in beide gevallen dat x = 0 en dit wordt de nieuwe linkergrens. Door y = 1 (bovengrens) in te vullen in x = y2 en x = 2y volgt in het ene geval dat x = 1 en in het andere geval dat x = 2. Deze laatste (de hoogste x-waarde) wordt de nieuwe rechtergrens. Deze twee lijnen begrenzen het integratiegebied in horizontale richting. En de lijn x = 1 is de overgang van de ene bovengrens naar de andere bovengrens.
De eerste integraal is het integratiegebied links van de lijn x = 1 en kent als bovengrens y = √x, en de tweede integraal is het integratiegebied rechts van de lijn x = 1 en kent als bovengrens y = 1. Door de integratievolgorde te verwisselen ontstaat aldus:
-
Ik heb een plaatje gemaakt van het integratiegebied.
Voor de binnenste integraal geldt het volgende. Wanneer je vanaf de x-as ‘vertrekt’ dan zit je al gelijk midden in het integratiegebied. Vertrek je naar boven dan kom je de lijn y = (1 − x2) (bovengrens) tegen, oftewel x = √(1 − y) (rechts van de y-as) en x = − √(1 − y) (links van de y-as), en vertrek je naar beneden dan kom je de lijn y = − √(1 − x2) (ondergrens) tegen, oftewel x = √(1 − y2) (rechts van de y-as) en x = − √(1 − y2) (links van de y-as). Deze vier lijnen begrenzen het integratiegebied in verticale richting. Door de y-as als vertrekpunt te nemen zit je uiteraard ook gelijk midden in het integratiegebied. Vertrek je naar rechts dan stuit je boven de x-as op de lijn y = (1 − x2) (rechtergrens), oftewel x = √(1 − y), en onder de x-as stuit je op de lijn y = − √(1 − x2), oftewel x = − √(1 − y2). Vertrek je vanaf de y-as naar links dan stuit je boven de x-as op de lijn y = (1 − x2) (linkergrens), oftewel x = − √(1 − y), en onder de x-as stuit je op de lijn y = − √(1 − x2), oftewel x = − √(1 − y2). Er zijn dus weliswaar maar twee lijnen die het integratiegebied begrenzen in horizontale richting, maar die zijn verschillend voor boven de x-as en onder de x-as. Ook hier ontkomen we er dus niet aan om de integraal te splitsen.
Voor de buitenste integraal geldt het volgende. Het integratiegebied kent als uiterste grenzen x = −1 (linkergrens) en x = 1 (rechtergrens), dit zijn twee verticale rechte lijnen waartussen het integratiegebied ligt ingeklemd in horizontale richting. Wanneer we de integratievolgorde omkeren dan moeten we de uiterste grenzen weten uitgedrukt in y. Een blik op het integratiegebied leert ons dat dit de lijnen y = −1 (ondergrens) en y = 1 (bovengrens) zijn. Deze twee lijnen begrenzen het integratiegebied in verticale richting. En de lijn y = 0 (de x-as) is de overgang van de ene integraal naar de andere integraal.
De eerste integraal is het integratiegebied boven de lijn y = 0 en kent als linkergrens x = − √(1 − y) en als rechtergrens x = √(1 − y). De tweede integraal is het integratiegebied onder de lijn y = 0 en kent als linkergrens x = − √(1 − y2) en als rechtergrens x = √(1 − y2). Door de integratievolgorde te verwisselen ontstaat aldus:Het behoeft waarschijnlijk geen betoog dat het verwisselen van integratiegrenzen een secuur werkje is waarbij een foutje snel gemaakt is.
Door naar het volgende vraagstuk: vectoren, vraagstuk 30
Terug naar het vorige vraagstuk: vectoren, vraagstuk 28
Overzichtspagina met vraagstukken
Vraagstukken xref voor de UT
De integraal van
De integraal van
De integraal van
De integraal van
De integraal van
De integralen van
Vectoren
Vectoren, vraagstuk 34
Vectoren, vraagstuk 79
Wat is de metrische tensor?
De Taylor-reeks van
De Taylor-reeksen van
De stelling van Green
Holomorfie van de functie
Holomorfie van de functie
Uitleg artikel algemene relativiteitstheorie: paragraaf 6
De automobilist die door rood reed
De invaltijd van een baksteen die in een zwart gat valt
Astronomie
De wetten van Maxwell met potentialen
Gravitationele rood-/blauwverschuiving
Getijdenkrachten
Zijn wij vroeg of laat?
De Einstein-Rosen-brug
De invaltijd van een baksteen die in een zwart gat valt
De buitenkant van een wormgat
De astroïde
Het waarneembare universum
Wat is een wormgat?
Overzichtspagina wiskunde
Overzichtspagina natuurkunde
Overzichtspagina filosofie
Doneer enkele euro’s
Wetenschappelijke boeken te koop
Lezingen