Fourier-analyse van het onzekerheidsprincipe van Heisenberg (I)
Maak het onzekerheidsprincipe van Heisenberg aannemelijk met behulp van Fourier-analyse.
Het onzekerheidsprincipe van Heisenberg zag het levenslicht in 1927.
Het is één van die natuurkundige ‘dingen’ waar we met onze grijze massa nauwelijks (of meestal niet) bij kunnen.
Dat maakt het daarom extra lastig om dit uit te leggen aan mensen die normaliter niet gewend zijn in wiskundige abstracties te denken
(minstens 99.99 procent van de bevolking, een voorzichtige inschatting van mijn kant).
Heisenberg realiseerde zich terdege dat wij niet de werkelijkheid waarnemen, maar enkel datgene waarover wij met onze extreem bekrompen geest
extreem bekrompen vragen stellen.
Of in zijn eigen woorden: “What we observe is not nature itself, but nature exposed to our method of questioning”.
Met behulp van Fourier-analyse
gaan we ons een weg banen richting het onzekerheidsprincipe.
Stel ik heb een pulsje (een spanningspulsje of een stroompulsje of een lichtpulsje of wat dan ook, dat maakt even niet uit).
Het pulsje begint bij x = −1 (of t = −1, dat maakt ook niet uit maar laten we het hier even bij x houden),
heeft een
amplitude
van één en eindigt bij x = +1.
Hieronder staat een plaatje van het pulsje.

Figuur 1
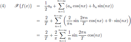
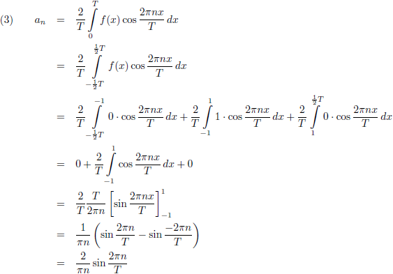
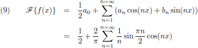
De beschrijving van het pulsje noem ik f (x) en de Fourier-getransformeerde wordt dan:
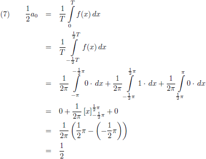
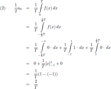
De eerste term aan de rechterkant van bovenstaande vergelijking is de gemiddelde waarde en die reken ik eerst uit:
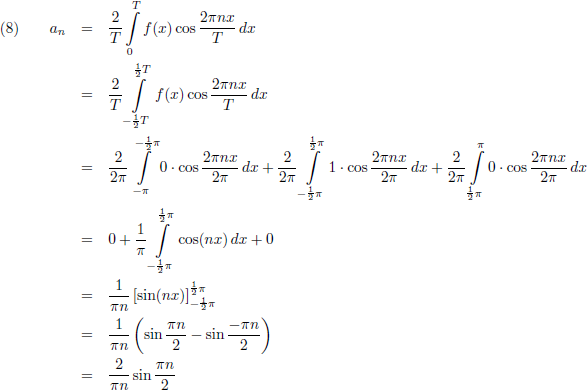
De overige a
n coëfficiënten bereken ik als volgt:
Omdat het een
even functie is (de y-as is symmetrie-as) zijn alle coëfficiënten b
n gelijk aan nul.
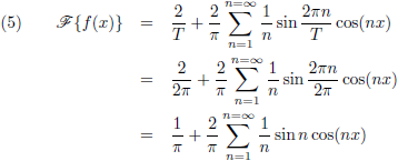
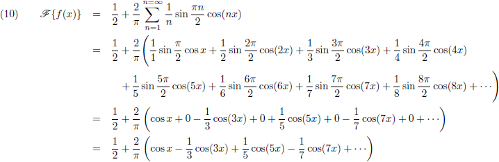
Daarmee wordt de Fourier-getransformeerde van het pulsje aldus:
Voor het gemak kies ik een periodetijd T = 2π:
En nu gaan we weer eens de schoonheid van de wiskunde in actie zien.
Bovenstaande vergelijking heb ik in Excel gestopt en vervolgens ben ik de termen gaan optellen:
De eerste term ziet er als volgt uit (waarbij ik het gemiddelde 1/2 a
0 al heb opgeteld):

Figuur 2
En dit is de tweede term:

Figuur 3
De som van beide is:

Figuur 4
Dit is de derde term plus de bijbehorende tussenstand (dus opgeteld tot en met de derde term):

Figuur 5

Figuur 6
De vierde term plus tussenstand:

Figuur 7

Figuur 8
De vijfde term plus tussenstand:

Figuur 9

Figuur 10
De zesde term plus tussenstand:

Figuur 11

Figuur 12
De zevende term plus tussenstand:

Figuur 13

Figuur 14
De achtste term plus tussenstand:

Figuur 15

Figuur 16
De negende term plus tussenstand:

Figuur 17

Figuur 18
De tiende term plus tussenstand:

Figuur 19

Figuur 20
Ik ga wat grotere stappen nemen, de tussenstand na twintig termen:

Figuur 21
Na dertig termen:

Figuur 22
Na veertig termen:

Figuur 23
Na vijftig termen:

Figuur 24
Ik maak nog even een grote sprong en ik ga naar een totaal van honderd termen:

Figuur 25
Hierbij naderde ik de grens van Excel en het geheugen van mijn computer, maar het moge duidelijk zijn dat indien ik
doorga tot in het oneindige dat dan het oorspronkelijke pulsje weer verschijnt in zijn volle glorie:

Figuur 26
Dat laatste laat zich (veel) gemakkelijker bewijzen indien ik het pulsje niet van −1 tot +1 laat lopen.
Ik had het pulsje bijvoorbeeld ook van x = −1/2 π tot x = +1/2 π kunnen laten lopen (bij dezelfde periodetijd van 2π).
De gemiddelde waarde wordt dan:
En voor de overige a
n coëfficiënten vind ik:
Ik kom zo tot deze Fourier-getransformeerde:
Ik schrijf even een stel termen uit:
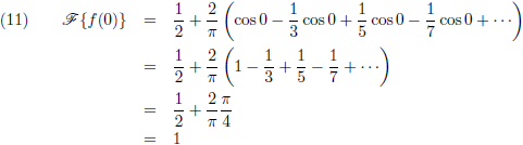
Laten we eens een paar punten gaan controleren, om te beginnen x = 0:
En daar komt precies één uit, dus dat klopt (uiteraard).
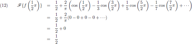
Vervolgens controleren we x = 1/2 π:
Deze 1/2 klopt ook, want dat is precies het midden van de helling waar de puls van één naar nul gaat.
En omdat de
cosinus
symmetrisch is ten opzichte van de y-as is dit ook gelijk het antwoord voor x = −1/2 π.
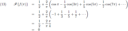
Het volgende controlepunt is x = π (en dat geldt dan ook voor −π):
Ook dat punt klopt.
Nu nemen we een wat minder voor de hand liggend punt, namelijk x = 1/4 π:
Ook dit punt klopt.
En op grond van symmetrie ten opzichte van de y-as klopt dus ook het punt −1/4 π.
Dan zouden we ook nog het punt 3/4 π kunnen controleren, maar dan krijgen we weer dezelfde tekenwisselingen als in vergelijking (13) ten opzichte van
vergelijking (11).
Oftewel, voor 3/4 π en −3/4 π komt er echt wel nul uit.
Aldus heb ik voor negen punten bewezen dat er na oneindig veel termen inderdaad uitkomt wat er uit zou moeten komen:

Figuur 27
Maar wat heeft dit nou allemaal te maken met het onzekerheidsprincipe?
In figuur 26 hebben we oneindig veel golfjes, oneindig veel frequenties, bij elkaar opgeteld:

Figuur 26
Van het pulsje dat daarmee ontstaan is kunnen we exact zeggen waar het zich bevindt, namelijk van x = −1 tot x = +1.
Maar indien we vragen naar de frequentie van dat pulsje dan kunnen we juist helemaal niets daarover zeggen, omdat we oneindig veel verschillende
frequenties bij elkaar opgeteld hebben.
Met andere woorden, mijn kennis omtrent de positie van het pulsje is maximaal en mijn kennis omtrent de frequentie van het pulsje is minimaal.
Of iets anders geformuleerd: mijn onzekerheid omtrent de positie van het pulsje is nul en mijn onzekerheid omtrent de frequentie van het pulsje
is oneindig.
Bovendien kan ik beter over de golflengte van het pulsje praten, want golflengte is een afstandsmaat
(net als positie) en frequentie is een tijdsmaat (de eenheid van frequentie is Hertz = 1/seconde).
En om redenen die weldra duidelijk zullen worden neem ik de reciproke waarde van de golflengte λ
zijnde het golfgetal k:
Let op: het golfgetal komt in de literatuur en op internet ook voor als simpelweg de reciproke van de golflengte, dus zonder de factor 2π.
Onzekerheid geef ik aan met de Griekse hoofdletter delta (∆) en ik kan dus schrijven:
Vervolgens kijken we nogmaals naar figuur 2, het eerste golfje waar ik mee begon:

Figuur 2
Deze golf (of welke individuele frequentie dan ook) bestaat uit één enkele frequentie, want ik heb er nog geen enkele andere golf bij opgeteld
(alleen de gemiddelde waarde, dat kun je zien omdat de golf niet symmetrisch om de x-as golft maar dat maakt voor dit onzekerheidsverhaal niets uit).
Echter, ditmaal tast ik volledig in het duister omtrent de positie van de golf om de doodeenvoudige reden dat het in de aard van een golf ligt dat die
zich niet op één punt bevindt.
Per definitie strekt een golf zich uit en kun je niets zeggen over de positie van een golf.
Oftewel, nu zijn de rollen omgedraaid:
Mijn volgende zinnen staan op wiskundig drijfzand (om het nog maar voorzichtig uit te drukken), maar het is ook niet het doel van dit vraagstuk om een
wiskundig waterdicht bewijs te leveren maar om iets aannemelijk te maken.
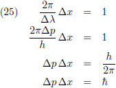
De getallen nul en oneindig zijn elkaars reciproke:
Dit brengt mij in de verleiding om te stellen (daarom ben ik overgestapt op het golfgetal k omdat ik anders nu tegen een dimensieprobleem op zou lopen,
maar de dimensie van x is meter en van k is het 1/meter dus er is geen vuiltje aan de lucht):
Met behulp van vergelijking (15) kan ik ook schrijven:
Volgens meneer De Broglie geldt:
Waarmee vergelijking (23) wordt:
Dit is de
ondergrens van de onzekerheid.
Daarom dienen we nog een kleine modificatie aan te brengen om tenslotte uit te komen bij het onzekerheidsprincipe van Heisenberg:
Bovenstaande vergelijking geeft de onzekerheid in de positie aan (in combinatie met de onzekerheid in de impuls) en dit is redelijk simpel
om te schrijven naar de vergelijking die de onzekerheid in de tijd aangeeft (in combinatie met de onzekerheid in de energie):
Een wiskundig waterdichter bewijs van het onzekerheidsprincipe zien?
Ga dan door naar
deze pagina.
Wil je juist minder wiskunde, ga dan terug naar
deze pagina.