Fourier-analyse van het onzekerheidsprincipe van Heisenberg (II)

Bewijs het onzekerheidsprincipe van Heisenberg met behulp van Fourier-analyse.

Heisenberg

Het onzekerheidsprincipe van Heisenberg zag het levenslicht in 1927. Het is één van die natuurkundige ‘dingen’ waar we met onze grijze massa nauwelijks (of meestal niet) bij kunnen. Dat maakt het daarom extra lastig om dit uit te leggen aan mensen die normaliter niet gewend zijn in wiskundige abstracties te denken (minstens 99.99 procent van de bevolking, een voorzichtige inschatting van mijn kant).

Heisenberg realiseerde zich terdege dat wij niet de werkelijkheid waarnemen, maar enkel datgene waarover wij met onze extreem bekrompen geest extreem bekrompen vragen stellen. Of in zijn eigen woorden: “What we observe is not nature itself, but nature exposed to our method of questioning”.

Fourier

Met behulp van Fourier-analyse gaan we ons wederom (net als op deze pagina) een weg banen richting het onzekerheidsprincipe. Op deze pagina hebben we gezien dat een pulsje (een spanningspulsje of een stroompulsje of een lichtpulsje of wat dan ook, dat maakt even niet uit) opgebouwd kan worden middels het sommeren van een oneindige reeks sinussen en/of cosinussen, het principe van de Fourier-analyse. Hieronder staat een plaatje van het pulsje.

Na het optellen van honderd termen was deze vorm reeds verschenen:
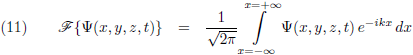
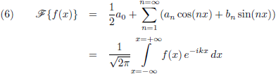
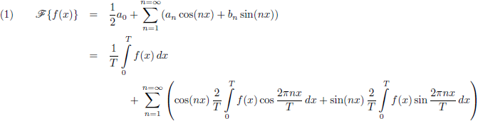
Voor de Fourier-getransformeerde van een functie f (x) geldt in zijn algemeenheid:

Taylor

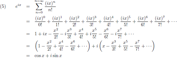
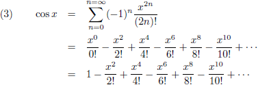
Nu ga ik even een zijweggetje in. Ik ontwikkel de sinus, cosinus en e-macht in een reeks. In de tabel met Taylor-reeksen vinden we:

In de tabel met Taylor-reeksen vinden we ook:
En in de tabel met Taylor-reeksen vinden we:
Met de e-macht ga ik verder werken. Ik maak de exponent imaginair en ik knutsel daarna nog wat verder:
Middels de imaginaire eenheid i kan ik de e-macht schrijven als de som van sinus en cosinus! Daarmee kan ik de Fourier-getransformeerde van een functie f (x), op een helaas veel abstracter niveau, ook schrijven als:
In de werkelijkheid zal een pulsje niet bestaan uit één enkele frequentie en ook niet uit oneindig veel frequenties, maar ergens daartussenin. Tevens zal het niet een samenstelling zijn van 13 Hz, 671.345 MHz en 7.32 THz om maar wat buitenplaatsen te noemen, maar een groepje frequenties dat zich redelijkerwijs bij elkaar ‘in de buurt’ bevindt. Een dergelijk clubje frequenties noemen we een golfpakket en die zou ik als volgt kunnen beschrijven:
Hierin is u de amplitude, k is het golfgetal en ω is de hoeksnelheid:

Let op: het golfgetal komt in de literatuur en op internet ook voor als simpelweg de reciproke van de golflengte, dus zonder de factor 2π. Voor het gemak had ik y en z al op nul gesteld en om het nog gemakkelijker te maken neem ik een momentopname en stel ik t ook gelijk aan nul:
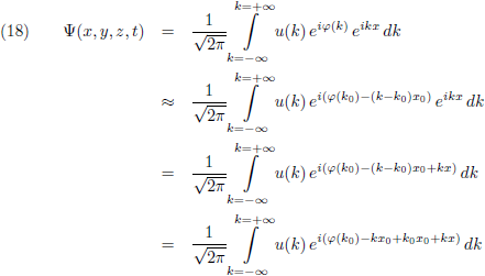
De Fourier-getransformeerde hiervan is (waarbij ik vanaf nu die abstracte, maar wel handige, e-macht notatie gebruik):
Door hier de inverse Fourier-transformatie op los te laten krijg ik weer de oorspronkelijke functie ψ terug:
Al die Fourier-termen hebben uiteraard een bepaalde amplitude u en een bepaalde fasehoek φ die beide een functie van k zijn. Door hiervoor ook de imaginaire e-macht te gebruiken kan ik vergelijking (12) schrijven als volgt:
Het golfpakket is een clubje frequenties waarvan ik een bepaalde middenfrequentie f0 aanwijs met golflengte λ0 en golfgetal k0. De frequenties van het golfpakket liggen dus binnen het interval:
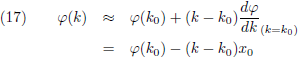
Ik ga ervanuit dat de fasehoek φ lineair varieert binnen dit frequentieinterval, of anders gezegd: ik kies voor een eerste orde benadering. Voor de fasehoek geldt dan:
Ik stel:
Dan wordt vergelijking (15):
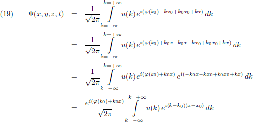
En dit stop ik in vergelijking (13):
In de exponent van de e-macht tel ik er k0x bij op en ik trek het er ook gelijk weer van af:
Ik stel:

Waarmee vergelijking (19) tenslotte wordt:
Indien ∆x klein is ten opzichte van 1/∆k, dus kleine x en grote λ, dan zal er zich maar een enkele golf bevinden binnen het bereik ∆x. En wanneer ∆x groot is ten opzichte van 1/∆k, dus grote x en kleine λ, dan zullen er zich vele golven bevinden binnen het bereik ∆x. Je krijgt dus dit soort varianten:


Dus met toenemende x (naar links of naar rechts vanaf x0 = het midden van bovenstaande figuren) neemt de amplitude van het golfpakket hoe dan ook af. De afname van de amplitude wordt significant wanneer:
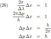
Met behulp van vergelijking (8) kan ik ook schrijven:

De Broglie

Volgens meneer De Broglie geldt:

Waarmee vergelijking (24) wordt:
Dit is de ondergrens van de onzekerheid. Daarom dienen we nog een kleine modificatie aan te brengen om tenslotte uit te komen bij het onzekerheidsprincipe van Heisenberg:
Bovenstaande vergelijking geeft de onzekerheid in de positie aan (in combinatie met de onzekerheid in de impuls) en dit is redelijk simpel om te schrijven naar de vergelijking die de onzekerheid in de tijd aangeeft (in combinatie met de onzekerheid in de energie):
Wil je minder wiskunde, ga dan terug naar deze pagina.