Holomorfie van de functie
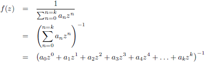
f (z) = 1/(Σ anzn)
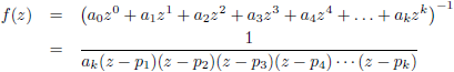
Gegeven de functie:
Ik ga deze reeks uitschrijven:
Vervolgens ga ik ontbinden in factoren:
Dit kan ik natuurlijk ook opschrijven als een product van functies:
De
holomorfietabel van complexe functies leert ons dat
f (z) = 1/(z − p) holomorf is (behalve voor z = p).
De
holomorfietabel van complexe functies leert ons ook
dat het product van twee holomorfe functies holomorf is,
dus f (z) = 1/(z − p
1) ∙ 1/(z − p
2) ∙ 1/(z − p
3)
∙ ... is
holomorf (behalve voor
z = p
1, p
2, p
3, ...).
Verder leert de
holomorfietabel van complexe functies ons
dat het product van een constante met een holomorfe functie holomorf is.
Hieruit volgt direct dat ieder reciprook polynoom van z
holomorf is behalve voor z = p
n.

De grafiek van f (z) = 1/z

De grafiek van f (z) = 1/z
2

De grafiek van f (z) = 1/z
3